Die KI-generierten Videos der Chinesen sind wirklich lustig:
https://x.com/P_Kallioniemi/status/1910563650324091376
Die Pinguin-Geschichte (Zeichen der Inkompetenz des Trump-Regimes) ist wirklich bisschen ausgelutscht, das Video ist hier exzellente Arbeit:
https://x.com/JonahDispatch/status/1910468084063760550
Re: Corona und der Sport
34602Was tut man nicht alles......sogar zu später Stunde den Lanz anschauen.
Da sassen gestern 4 Heuchler und Besserwisser sowie 2 ernsthaft bemühte Coronarückblicker zusammen. Für den einen und den anderen eine schöne Gelegenheit, um dem nicht anwesenden Drosten welche reinzuwürgen.
Sinngemäß hat mir Lauterbachs Ansage "ich könnte jeden von ihnen dreien mit Aussagen konfrontieren, die sich als völlig falsch herausstellten" am Besten gefallen. Das bringe aber nicht weiter.
https://www.zdf.de/video/talk/markus-la ... l-2025-102
Da sassen gestern 4 Heuchler und Besserwisser sowie 2 ernsthaft bemühte Coronarückblicker zusammen. Für den einen und den anderen eine schöne Gelegenheit, um dem nicht anwesenden Drosten welche reinzuwürgen.
Sinngemäß hat mir Lauterbachs Ansage "ich könnte jeden von ihnen dreien mit Aussagen konfrontieren, die sich als völlig falsch herausstellten" am Besten gefallen. Das bringe aber nicht weiter.
https://www.zdf.de/video/talk/markus-la ... l-2025-102
Re: Corona und der Sport
34603Eierpreise steigen in den USA auf Rekordhoch:
https://www.spiegel.de/wirtschaft/unter ... 6069b08b20
Hat ja super geklappt, am ersten Tag der Amtszeit die Eierpreise zu senken.
So wie das mit der Beendigung des illegalen Angriffskrieg der Russen geklappt hat.
https://www.spiegel.de/wirtschaft/unter ... 6069b08b20
Hat ja super geklappt, am ersten Tag der Amtszeit die Eierpreise zu senken.
So wie das mit der Beendigung des illegalen Angriffskrieg der Russen geklappt hat.
Re: Corona und der Sport
34604Oh je, das sieht ja wirklich nach absoluter Gruselrunde aus. Die Gang der Falschlieger. Hätte ich mir als Drosten auch nicht angetan.bones hat geschrieben: 11.04.2025, 09:41 Was tut man nicht alles......sogar zu später Stunde den Lanz anschauen.
Fehlte nur noch der mit dem uringelben Pulli, dessen Namen ich verdrängt habe.
Re: Corona und der Sport
34605Egon scheint wirklich recht zu haben. Oranges Handelsberater ist „so dumm wie ein Sack Ziegelsteine“.
Gefragt, wie sie denn mit 70 Ländern in 90 Tagen Handelsabkommen machen wollen, wenn das in der Vergangenheit Monate bis Jahre gedauert hat, kommt so ein Wortsalat:
https://x.com/atrupar/status/1910427581809152230?s=46

Die Dummheit dieses Regimes ist schon bestechend.
Sagt der Südekum, unser Wirtschaftsprofessor aus Düsseldorf auch. Tja, Jens. USA-Reisen gibts keine mehr…
https://www.handelsblatt.com/politik/in ... 20600.html
Gefragt, wie sie denn mit 70 Ländern in 90 Tagen Handelsabkommen machen wollen, wenn das in der Vergangenheit Monate bis Jahre gedauert hat, kommt so ein Wortsalat:
https://x.com/atrupar/status/1910427581809152230?s=46
Die Dummheit dieses Regimes ist schon bestechend.
Sagt der Südekum, unser Wirtschaftsprofessor aus Düsseldorf auch. Tja, Jens. USA-Reisen gibts keine mehr…
https://www.handelsblatt.com/politik/in ... 20600.html
Re: Corona und der Sport
34606Das Vertrauen an den Weltbörsen zerlegt. Das Vertrauen der Geldgeber für Staatskredite zerlegt. Massive Verkäufe von Staatsanleihen ausgelöst. Verschuldung am Markt nur noch zu einer höheren Verzinsung der Staatsanleihen. Die Zinsen für Unternehmenskredite steigen = weniger Investitionen. Die Zinsen für Hypothekenkredite steigen = Schwierigkeiten beim Verkauf und Kauf von Immobilien. Die Zinsen bei Kreditkarten steigen = weniger Konsum. Die Preise steigen wegen dem Zollquatsch = weniger Konsum.
Das werden natürlich die sprudelnden Zolleinnahmen alles ausgleichen.
Re: Corona und der Sport
34607Orange will seinen FED-Chef ja nötigen, die Zinsen zu senken. Momentan sieht es eher danach aus, dass er die Zinsen lässt, wo sie sind oder gar erhöht.bones hat geschrieben: 11.04.2025, 11:49 Das Vertrauen an den Weltbörsen zerlegt. Das Vertrauen der Geldgeber für Staatskredite zerlegt. Massive Verkäufe von Staatsanleihen ausgelöst. Verschuldung am Markt nur noch zu einer höheren Verzinsung der Staatsanleihen. Die Zinsen für Unternehmenskredite steigen = weniger Investitionen. Die Zinsen für Hypothekenkredite steigen = Schwierigkeiten beim Verkauf und Kauf von Immobilien. Die Zinsen bei Kreditkarten steigen = weniger Konsum. Die Preise steigen wegen dem Zollquatsch = weniger Konsum.
Hab heute gehört, dass die hohen Kurse der Anleihen, sofern das so weitergeht, zu 8-9% Immobilienzinsen in kurzer Zeit führen können. Das wirft dann noch den letzten Rest aus der Kurve. Und ob die Banken nach 2008 tatsächlich keine Leichen mehr in Form dieser Produkte, die uns damals an den Abgrund getrieben haben, im Portfolio haben: zweifelhaft. Ich hätte mir gewünscht, dass ich nix mehr von CDOs, Subprime und was auch immer hören muss.
Selbst die Wasserträger bei FOX-"News" sahen sich diese Tage wohl gezwungen, den Hillbillies mitzuteilen, dass der Importeur die Zölle bezahlt und nicht, wie Orange es immer wieder wiederholt, das produzierende Land. Es ist wirklich eine "Idiocracy".bones hat geschrieben: 11.04.2025, 11:49 Das werden natürlich die sprudelnden Zolleinnahmen alles ausgleichen.![]()
Und bei allem: diese Krise ist ohne jeglichen Grund entstanden. Die USA waren der Motor der Weltwirtschaft. Bis halt ein Volltrottel ohne jede Ahnung übernommen hat, der sich mit Kopfnickern umgibt, die ähnlich blöde und bösartig wie er selbst sind.
Diese Kabinettssitzung gestern wäre selbst Nordkorea zu peinlich gewesen. Es ist unfassbar.
Re: Corona und der Sport
34608Gottseidank hat die Orange rechtzeitig vorgesorgt.Steffen42 hat geschrieben: 11.04.2025, 12:37
Hab heute gehört, dass die hohen Kurse der Anleihen, sofern das so weitergeht, zu 8-9% Immobilienzinsen in kurzer Zeit führen können. Das wirft dann noch den letzten Rest aus der Kurve. Und ob die Banken nach 2008 tatsächlich keine Leichen mehr in Form dieser Produkte, die uns damals an den Abgrund getrieben haben, im Portfolio haben: zweifelhaft. Ich hätte mir gewünscht, dass ich nix mehr von CDOs, Subprime und was auch immer hören muss.
"Banken und Hypotheken :
Trump stoppt Verbraucherschutzbehörde"
https://www.faz.net/aktuell/finanzen/ba ... 86733.html
Re: Corona und der Sport
34609Seine Bildungsministerin weiß nicht mal, was AI ist und meint, das würde A1 ausgesprochen:Steffen42 hat geschrieben: 11.04.2025, 12:37der sich mit Kopfnickern umgibt, die ähnlich blöde und bösartig wie er selbst sind.
https://x.com/P_Kallioniemi/status/1910626656936489072
Gut, sie war Managerin in der Wrestling-Branche.
Re: Corona und der Sport
34610Man muß einfach alles nur "great and wonderful" finden was die Orange sagt, dass reicht als Qualifikation für ein Ministeramt. Oder genug Spenden für den Wahlkampf getätigt haben.Steffen42 hat geschrieben: 11.04.2025, 12:44Seine Bildungsministerin weiß nicht mal, was AI ist und meint, das würde A1 ausgesprochen:Steffen42 hat geschrieben: 11.04.2025, 12:37der sich mit Kopfnickern umgibt, die ähnlich blöde und bösartig wie er selbst sind.
https://x.com/P_Kallioniemi/status/1910626656936489072
Gut, sie war Managerin in der Wrestling-Branche.![]()
Re: Corona und der Sport
34611Oder gut aussehen.bones hat geschrieben: 11.04.2025, 12:49 Man muß einfach alles nur "great and wonderful" finden was die Orange sagt, dass reicht als Qualifikation für ein Ministeramt. Oder genug Spenden für den Wahlkampf getätigt haben.
Egon, der mit seinem DOGE-Quatsch erst 2 Billionen, dann 1 Billion einsparen wollte, gab gestern kleinlaut zu, dass es nur 150 Milliarden werden. Und davon sind ja, wie wir wissen, der Großteil gelogen oder Luftnummern:
https://www.reuters.com/world/us/musk-a ... 025-04-10/
(Artikel auf Englisch)
Re: Corona und der Sport
34612Trump will US-Kanzleien um Hilfe im Handelskrieg bitten:
https://www.spiegel.de/wirtschaft/unter ... 2ec10e387a
„Geht es nach Trump, soll diese Arbeit der Juristen auch noch kostenneutral erfolgen. Schließlich hätten ihm mehrere Anwaltskanzleien in den vergangenen Wochen zugestimmt, seiner Regierung in juristischen Fragen zu dienen.“
Nachdem sie eingeknickt sind, als Trump ihnen illegalerweise verboten hatte, Bundesgebäude zu betreten weil sie in der Vergangenheit Gegner von Trump unterstützt hatten.
https://www.spiegel.de/wirtschaft/unter ... 2ec10e387a
„Geht es nach Trump, soll diese Arbeit der Juristen auch noch kostenneutral erfolgen. Schließlich hätten ihm mehrere Anwaltskanzleien in den vergangenen Wochen zugestimmt, seiner Regierung in juristischen Fragen zu dienen.“
Nachdem sie eingeknickt sind, als Trump ihnen illegalerweise verboten hatte, Bundesgebäude zu betreten weil sie in der Vergangenheit Gegner von Trump unterstützt hatten.
Re: Corona und der Sport
34613Wahrscheinlich sind die negativen Auswirkungen gar nicht berücksichtigt und gegengerechnet. Es wird gespart, koste es, was es wolle. Hauptsache fired.Steffen42 hat geschrieben: 11.04.2025, 13:39Oder gut aussehen.bones hat geschrieben: 11.04.2025, 12:49 Man muß einfach alles nur "great and wonderful" finden was die Orange sagt, dass reicht als Qualifikation für ein Ministeramt. Oder genug Spenden für den Wahlkampf getätigt haben.
Egon, der mit seinem DOGE-Quatsch erst 2 Billionen, dann 1 Billion einsparen wollte, gab gestern kleinlaut zu, dass es nur 150 Milliarden werden. Und davon sind ja, wie wir wissen, der Großteil gelogen oder Luftnummern:
https://www.reuters.com/world/us/musk-a ... 025-04-10/
(Artikel auf Englisch)
Re: Corona und der Sport
34614Guter Punkt. Hatte dazu mal die Zahl von 500 Milliarden Mindereinnahmen pro Jahr gesehen. Einfach weil weniger Steuern anfallen, weil weniger investiert wird, aber auch der Steuerbetrug wird mehr werden, wenn man Steuerprüfer rauswirft.bones hat geschrieben: 11.04.2025, 15:24 Wahrscheinlich sind die negativen Auswirkungen gar nicht berücksichtigt und gegengerechnet. Es wird gespart, koste es, was es wolle. Hauptsache fired.
Re: Corona und der Sport
34615„Das US-Verbrauchervertrauen der Uni Michigan (April), das stark beachtet wird auch wegen der Erwartungen der Konsumenten zur Inflation, ist mit 50,8 Punkten noch stärker eingebrochen als befürchtet (Prognose 54,0 / Vormonat war 57,0).“
10 Jahres Anleihen haben die 4,5% locker überschritten. Die 30jährigen sind Richtung 5% unterwegs.
US-Börsen fallen nach zögerlichen Anfangsgewinnen.
Orange ist heute beim Arzt um sich bescheinigen zu lassen, dass er so gesund wie niemand ist. Danach wird es Richtung Golfplatz gehen.
10 Jahres Anleihen haben die 4,5% locker überschritten. Die 30jährigen sind Richtung 5% unterwegs.
US-Börsen fallen nach zögerlichen Anfangsgewinnen.
Orange ist heute beim Arzt um sich bescheinigen zu lassen, dass er so gesund wie niemand ist. Danach wird es Richtung Golfplatz gehen.
Re: Corona und der Sport
34616Welcher Arzt würde es wagen, ihm eine gesundheitliche Beeinträchtigung zu diagnostizieren? Das kann natürlich für den Rest der Welt von Vorteil sein.Steffen42 hat geschrieben: 11.04.2025, 16:29 Orange ist heute beim Arzt um sich bescheinigen zu lassen, dass er so gesund wie niemand ist. Danach wird es Richtung Golfplatz gehen.![]()
Re: Corona und der Sport
34617Hab von Leuten gehört, die nach dem Aufwachen erstmal auf dem Handy schauen, ob Orange vielleicht über Nacht verstorben ist.bones hat geschrieben: 11.04.2025, 17:51 Welcher Arzt würde es wagen, ihm eine gesundheitliche Beeinträchtigung zu diagnostizieren? Das kann natürlich für den Rest der Welt von Vorteil sein.
Re: Corona und der Sport
34619Das woke und Rupert Murdoch gehörende Wall Street Journal ruft zur Amtsenthebung Oranges wegen seines unnötigen Handelskrieges auf:
https://www.wsj.com/opinion/trump-wants ... n-6f4ea931
https://www.wsj.com/opinion/trump-wants ... n-6f4ea931
Re: Corona und der Sport
34620Was wird der Jens eigentlich in der neuen Bundesregierung? Die Brandmauer möchte er jedenfalls für ein gemeinsames Lagerfeuer einreißen.
"Er empfehle, „mit der AfD als Oppositionspartei so umzugehen in den Verfahren und Abläufen wie mit jeder anderen Oppositionspartei auch“, sagte der CDU-Politiker der „Bild“. Die Politik müsse „auch einfach anerkennen“, „wie viele Millionen Deutsche die AfD gewählt haben“."
https://www.tagesspiegel.de/politik/wie ... 31591.html
"Er empfehle, „mit der AfD als Oppositionspartei so umzugehen in den Verfahren und Abläufen wie mit jeder anderen Oppositionspartei auch“, sagte der CDU-Politiker der „Bild“. Die Politik müsse „auch einfach anerkennen“, „wie viele Millionen Deutsche die AfD gewählt haben“."
https://www.tagesspiegel.de/politik/wie ... 31591.html
Re: Corona und der Sport
34621Sagt er das auch über die Wähler der Linken und der Grünen?bones hat geschrieben: 12.04.2025, 10:10Die Politik müsse „auch einfach anerkennen“, „wie viele Millionen Deutsche die AfD gewählt haben“."
Ich hab echt keine Ahnung, warum der bei der CDU noch so viel zu melden hat. Den müssten die doch, genauso wie den Amthor, ganz schnell irgendwo verstecken.
Re: Corona und der Sport
34623Die Weltwirtschaft und damit unser Wohlstand hängen am dünnen Faden. Den einer, der noch nicht mal weiß, wie man einen Regenschirm zumacht, kontrolliert:
https://x.com/RpsAgainstTrump/status/19 ... 5799792726
https://x.com/RpsAgainstTrump/status/19 ... 5799792726
Re: Corona und der Sport
34624Nach dem Wahlbetrug zu ihren Ungunsten hört man nur noch wenig von Russen-Sahra. Sie dürfte ihr Glück doch kaum fassen können, wie die Orange die Weltwirtschaft zerlegt und dem Putin Fanclub beigetreten ist.
Selbst arbeiten scheint nicht so ihr Ding zu sein. Das sollen mal andere machen. Dann hat sie mehr Zeit für den Lanz und Co.
"Die organisatorischen Aufgaben innerhalb der Partei wolle sie künftig jedoch abgeben. "Die reine Organisation müssen andere machen", erklärte Wagenknecht laut "Spiegel". Sie selbst wolle sich aus der operativen Arbeit zurückziehen."
https://www.t-online.de/nachrichten/deu ... rlage.html
Selbst arbeiten scheint nicht so ihr Ding zu sein. Das sollen mal andere machen. Dann hat sie mehr Zeit für den Lanz und Co.
"Die organisatorischen Aufgaben innerhalb der Partei wolle sie künftig jedoch abgeben. "Die reine Organisation müssen andere machen", erklärte Wagenknecht laut "Spiegel". Sie selbst wolle sich aus der operativen Arbeit zurückziehen."
https://www.t-online.de/nachrichten/deu ... rlage.html
Re: Corona und der Sport
34625Doch, zwischendurch hat sie sich mal kurz gemeldet.bones hat geschrieben: 12.04.2025, 12:35 Nach dem Wahlbetrug zu ihren Ungunsten hört man nur noch wenig von Russen-Sahra. Sie dürfte ihr Glück doch kaum fassen können, wie die Orange die Weltwirtschaft zerlegt und dem Putin Fanclub beigetreten ist.
Ihre Lösung für das durch Trumps Inkompetenz ausgelöste Chaos: wir sollen russisches Gas kaufen.
Re: Corona und der Sport
34626Was soll nur aus ihr werden, wenn tatsächlich mal wieder Gas aus Russland strömen sollte?Steffen42 hat geschrieben: 12.04.2025, 12:39Doch, zwischendurch hat sie sich mal kurz gemeldet.bones hat geschrieben: 12.04.2025, 12:35 Nach dem Wahlbetrug zu ihren Ungunsten hört man nur noch wenig von Russen-Sahra. Sie dürfte ihr Glück doch kaum fassen können, wie die Orange die Weltwirtschaft zerlegt und dem Putin Fanclub beigetreten ist.
Ihre Lösung für das durch Trumps Inkompetenz ausgelöste Chaos: wir sollen russisches Gas kaufen.![]()
Re: Corona und der Sport
34627Leiterin des Oblasts Deutschland?bones hat geschrieben: 12.04.2025, 12:43 Was soll nur aus ihr werden, wenn tatsächlich mal wieder Gas aus Russland strömen sollte?
Re: Corona und der Sport
34628Nachdem die Kanadier keine Lust mehr haben, in die USA zu reisen, machen es ihnen die Europäer nach. Die Einbrüche sind ähnlich dramatisch wie die Verkaufszahlen Teslas:
https://www.ft.com/content/6dc16a54-8de ... b566118127
The Golden Age. Außer für Hotelbetreiber, Autovermieter, Restaurants, Fluglinien.
https://www.ft.com/content/6dc16a54-8de ... b566118127
The Golden Age. Außer für Hotelbetreiber, Autovermieter, Restaurants, Fluglinien.
Re: Corona und der Sport
34629Wenn die Justiz im Hillbillie-Land funktionieren soll, dann nur mit Bernds Kameraden an den Schaltstellen der Macht.
"Damit der Staat funktioniert, müssen die Gerichte arbeiten können. In Thüringen sehen Experten das in Gefahr. Denn die AfD wirft der Justiz Stöcke zwischen die Beine – sie will sich damit Posten absichern."
https://web.de/magazine/politik/angriff-recht-40859984
"Damit der Staat funktioniert, müssen die Gerichte arbeiten können. In Thüringen sehen Experten das in Gefahr. Denn die AfD wirft der Justiz Stöcke zwischen die Beine – sie will sich damit Posten absichern."
https://web.de/magazine/politik/angriff-recht-40859984
Re: Corona und der Sport
34630Demnächst neuer Job für Bauschaum, Fuellmich, Ludwig?bones hat geschrieben: 12.04.2025, 15:41 Wenn die Justiz im Hillbillie-Land funktionieren soll, dann nur mit Bernds Kameraden an den Schaltstellen der Macht.
Re: Corona und der Sport
34631Bei den „Free Speech“ Absolutisten darf man künftig keine Kritik mehr an der christlichen Kirche äußern. Sonst wird man bei einer Meldestelle gemeldet und dann ist klar, was passiert:
https://www.politico.com/news/2025/04/1 ... ias-033535
(Artikel auf Englisch)
Der „Liddle“ Marco Rubio sollte als einer mit kubanischen Wurzeln bisschen aufpassen. Nicht, dass ihn Oranges Häscher versehentlich festnehmen und nach El Salvador in einen Knast abschieben. Geht schnell neuerdings.
https://www.politico.com/news/2025/04/1 ... ias-033535
(Artikel auf Englisch)
Der „Liddle“ Marco Rubio sollte als einer mit kubanischen Wurzeln bisschen aufpassen. Nicht, dass ihn Oranges Häscher versehentlich festnehmen und nach El Salvador in einen Knast abschieben. Geht schnell neuerdings.
Re: Corona und der Sport
34632Smartphones, Computer und andere Elektronik werden von den absurden Zöllen ausgenommen:
https://www.theverge.com/news/647666/tr ... ps-tariffs
(Artikel auf Englisch)
Hat Tim Apple Geld in den Hut geworfen oder waren es genervte Eltern wegen der Switch 2?
Und die große Frage: werden jetzt doch künftig weiterhin keine iPhones in den USA gebaut? Orange hatte es am Liberation Day versprochen? Bleiben nur Toaster, Billigklamotten, Gummienten?
https://www.theverge.com/news/647666/tr ... ps-tariffs
(Artikel auf Englisch)
Hat Tim Apple Geld in den Hut geworfen oder waren es genervte Eltern wegen der Switch 2?
Und die große Frage: werden jetzt doch künftig weiterhin keine iPhones in den USA gebaut? Orange hatte es am Liberation Day versprochen? Bleiben nur Toaster, Billigklamotten, Gummienten?
Re: Corona und der Sport
34633Aha, Freitag kurz vor Börsenschluss zog das Handelsvolumen noch mal richtig an. War ja klar. Noch rechtzeitig vor den morgen explodierenden Kursen eingedeckt.Steffen42 hat geschrieben: 12.04.2025, 16:25 Smartphones, Computer und andere Elektronik werden von den absurden Zöllen ausgenommen
RFK Jrs Frau scheint nicht Oranges Typ zu sein:
https://x.com/RpsAgainstTrump/status/19 ... 8852762101
Sehr peinlich. Für beide.
Re: Corona und der Sport
34634Die Senkung wurde eher klammheimlich von der Zollbehörde umgesetzt und nicht lauthals verkündet. Die Orange und seine dummen Backsteine wollen nicht an die große Glocke hängen, was sie für einen Mist bauen. Sonst wird ja jede Unterschrift der Orange unter ein Dekret live übertragen.Steffen42 hat geschrieben: 12.04.2025, 16:25 Smartphones, Computer und andere Elektronik werden von den absurden Zöllen ausgenommen:
"Wie aus einer Mitteilung der Zoll- und Grenzschutzbehörde CBP hervorgeht, gelten die Abgaben auch nicht für Festplatten und Speicherchips. Insgesamt geht es um 20 Produktgruppen und Unterkategorien. Die Behörde beruft sich dabei auf ein Memorandum des Präsidenten vom Freitag. Diesem Dokument zufolge gilt die Zollausnahme rückwirkend ab dem 5. April."
https://www.rnd.de/wirtschaft/trumps-na ... JGEMI.html
Re: Corona und der Sport
34635Vielleicht hat er Angst, dass sie als Ungeimpfte irgendwelche Krankheiten durch handshake übertragen könnte.Steffen42 hat geschrieben: 13.04.2025, 09:54
RFK Jrs Frau scheint nicht Oranges Typ zu sein:
https://x.com/RpsAgainstTrump/status/19 ... 8852762101
Sehr peinlich. Für beide.
Re: Corona und der Sport
34636Steffen42 hat geschrieben: 13.04.2025, 09:54 RFK Jrs Frau scheint nicht Oranges Typ zu sein:
Sehr peinlich. Für beide.
Eben.Boys Will Be Boys
(Sweet Karoline)
Knippi
Die Stones sind wir selber.
Re: Corona und der Sport
34637Möglich. Kann aber auch sein, dass sie mal etwas nicht so Nettes über Orange gesagt hat. Tja.bones hat geschrieben: 13.04.2025, 11:06 Vielleicht hat er Angst, dass sie als Ungeimpfte irgendwelche Krankheiten durch handshake übertragen könnte.
Re: Corona und der Sport
34638Bei Fox "News" auch Nullkommanull Berichterstattung, dass Orange wie ein Origami gefaltet ist und noch ohne irgendeine Verhandlung seine besten Karten aus der Hand gegeben hat. Die Chinesen wissen wahrscheinlich gar nicht, wie ihnen geschieht.bones hat geschrieben: 13.04.2025, 11:04 Die Senkung wurde eher klammheimlich von der Zollbehörde umgesetzt und nicht lauthals verkündet. Die Orange und seine dummen Backsteine wollen nicht an die große Glocke hängen, was sie für einen Mist bauen. Sonst wird ja jede Unterschrift der Orange unter ein Dekret live übertragen.
Der große Dealmaker, wirklich lächerlich. Null Strategie, komplette Inkompetenz, Chaos.
Wir können nur hoffen, dass er vor der nächsten richtigen Krise weg ist.
Re: Corona und der Sport
34639Gerade gesehen, dass sich Oranges Handelskasper Lutnick im Fernsehen heute wieder um Kopf und Kragen redet.bones hat geschrieben: 13.04.2025, 11:04
Die Senkung wurde eher klammheimlich von der Zollbehörde umgesetzt und nicht lauthals verkündet. Die Orange und seine dummen Backsteine wollen nicht an die große Glocke hängen, was sie für einen Mist bauen. Sonst wird ja jede Unterschrift der Orange unter ein Dekret live übertragen.
Diese Ausnahmen seien nur „temporär“. Weshalb und für wie lange weiß er natürlich nicht.
Er weiß natürlich auch keine Antwort darauf, warum fertige Computer zollfrei sind und Komponenten nicht. Ist also billiger, das Ding in China komplett zu bauen. Wie das „America First“ ist, unklar.
Re: Corona und der Sport
34640Fake-News auf tagesschau.de
"Langes Gespräch, wohl wenig Ertrag"
https://www.tagesschau.de/ausland/europ ... d-104.html
Witkoffs neuer Freund, der Schlächter aus dem Kreml, fährt reichlich Ernte ein. Der Wladi scheint die Orange nicht sehr ernst zu nehmen.
"Die Stadt Sumy hat an Palmsonntag einen der schwersten Luftangriffe dieses Jahr im Ukraine-Krieg erlebt. Inzwischen ist die Zahl der Todesopfer nach dem russischen Raketenangriff auf 31 gestiegen, wie Rettungskräfte mitteilten. Auch zwei Kinder seien unter den Toten. Von den mehr als 80 Verletzten seien ebenfalls viele Kinder. Der ukrainische Innenminister Ihor Klymenko warf Russland einen gezielten Angriff auf Zivilisten vor."
https://www.fr.de/politik/in-russland-u ... 80192.html
"Langes Gespräch, wohl wenig Ertrag"
https://www.tagesschau.de/ausland/europ ... d-104.html
Witkoffs neuer Freund, der Schlächter aus dem Kreml, fährt reichlich Ernte ein. Der Wladi scheint die Orange nicht sehr ernst zu nehmen.
"Die Stadt Sumy hat an Palmsonntag einen der schwersten Luftangriffe dieses Jahr im Ukraine-Krieg erlebt. Inzwischen ist die Zahl der Todesopfer nach dem russischen Raketenangriff auf 31 gestiegen, wie Rettungskräfte mitteilten. Auch zwei Kinder seien unter den Toten. Von den mehr als 80 Verletzten seien ebenfalls viele Kinder. Der ukrainische Innenminister Ihor Klymenko warf Russland einen gezielten Angriff auf Zivilisten vor."
https://www.fr.de/politik/in-russland-u ... 80192.html
Re: Corona und der Sport
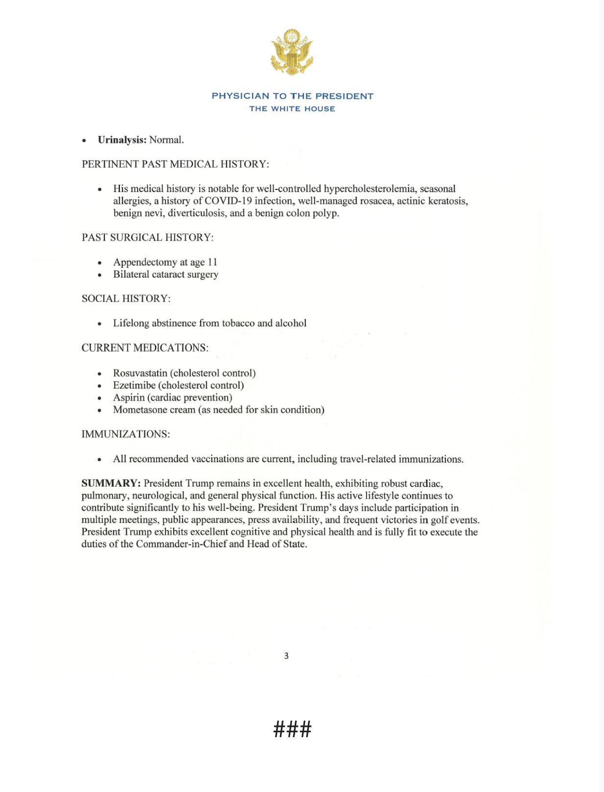
34641Vielleicht sollte man nicht nur den Leib untersuchen, sondern auch den Hohlkörper oben drauf.
"Der Leibarzt von Donald Trump hat dem US-Präsidenten einen »ausgezeichneten« Gesundheitszustand bescheinigt."
https://www.spiegel.de/ausland/donald-t ... c46bc5a928
"Der Leibarzt von Donald Trump hat dem US-Präsidenten einen »ausgezeichneten« Gesundheitszustand bescheinigt."
https://www.spiegel.de/ausland/donald-t ... c46bc5a928
Re: Corona und der Sport
34642Bestimmt schreibt die Orange heute noch einen ernsten Tweet und droht neue Sanktionen an, falls Putin und Selenskyi nicht aufhören, sich zu zanken.
Die Orange wird von Putin am Nasenring durch die Manege gezogen. Schwächster US-Präsident, den ich bisher erleben durfte. Dabei war doch sein Motto „Peace through strength“?
Re: Corona und der Sport
34643Peter Navarro, Trumps Berater in dem Zollchaos und laut Musk „dümmer als ein Sack Ziegelsteine“:
https://www.fr.de/wirtschaft/kontrovers ... 74610.html
„Nun entwickelt sich ein ungewöhnlicher Skandal: Peter Navarro, bekannt als einer der radikalsten China-Kritiker in Trumps Regierung, nutzte die Figur „Ron Vara“, um seine Thesen zu untermauern. Vara wurde in mehreren seiner Bücher zitiert, darunter in dem bekannten Werk „Death By China“. Dort wird Vara als renommierter Wirtschaftsprofessor dargestellt, der vor den Gefahren chinesischer Importe warnt. Doch wie sich herausstellte, ist Ron Vara eine reine Erfindung – ein Anagramm von Navarros eigenem Nachnamen.“
Elect a clown, expect a circus.
https://www.fr.de/wirtschaft/kontrovers ... 74610.html
„Nun entwickelt sich ein ungewöhnlicher Skandal: Peter Navarro, bekannt als einer der radikalsten China-Kritiker in Trumps Regierung, nutzte die Figur „Ron Vara“, um seine Thesen zu untermauern. Vara wurde in mehreren seiner Bücher zitiert, darunter in dem bekannten Werk „Death By China“. Dort wird Vara als renommierter Wirtschaftsprofessor dargestellt, der vor den Gefahren chinesischer Importe warnt. Doch wie sich herausstellte, ist Ron Vara eine reine Erfindung – ein Anagramm von Navarros eigenem Nachnamen.“
Elect a clown, expect a circus.
Re: Corona und der Sport
34644Es gab keine Senkung sagt Orange jetzt:bones hat geschrieben: 13.04.2025, 11:04 Die Senkung wurde eher klammheimlich von der Zollbehörde umgesetzt und nicht lauthals verkündet. Die Orange und seine dummen Backsteine wollen nicht an die große Glocke hängen, was sie für einen Mist bauen. Sonst wird ja jede Unterschrift der Orange unter ein Dekret live übertragen.
Die Chinesen haben schon mal die nächste Karte gespielt und ein Embargo auf seltene Erden ausgesprochen. Unter anderem auch für die in Magneten. Die braucht man in Elektromotoren zum Beispiel in Elektroautos. Blöd für Egon.
Re: Corona und der Sport
34645Er ist so gesund, weil:bones hat geschrieben: 13.04.2025, 18:39
"Der Leibarzt von Donald Trump hat dem US-Präsidenten einen »ausgezeichneten« Gesundheitszustand bescheinigt."
“President Trump's days include participation In multiple meetings, public appearances, press availability, and frequent victories in golf events.”
Wie in Nordkorea. Der Kim ist bestimmt auch top in Form.
Re: Corona und der Sport
34646Er ist geimpft!!!1 Er ist also einer von denen!!!111
Als @Steffen42 hier anfangs Trump einen Nazi nannte, fand ich das noch ein wenig übertrieben. Ja, ich hatte mich geirrt, das habe ich schon länger gemerkt.
Inzwischen spricht es sogar die Tagesschau aus:
https://www.tagesschau.de/ausland/ameri ... u-100.html
Als @Steffen42 hier anfangs Trump einen Nazi nannte, fand ich das noch ein wenig übertrieben. Ja, ich hatte mich geirrt, das habe ich schon länger gemerkt.
Inzwischen spricht es sogar die Tagesschau aus:
https://www.tagesschau.de/ausland/ameri ... u-100.html
Weniger Selbstkritik, mehr Eigenlob - so lautet offenbar das Kulturverständnis der Trump-Regierung. Kritiker halten deren Vorgehen für autokratisch - und vergleichbar mit dem dunkelsten Kapitel der deutschen Geschichte. "Im Rückblick auf die Taktiken der Nazi-Regierung war es für Joseph Goebbels wichtig, Kunst und Kultur zu kontrollieren", sagt Jonathan Katz. "Ich sage nicht, dass sie genau das Gleiche tun, aber es gibt eine Menge Ähnlichkeiten."
Re: Corona und der Sport
34647Er sagt es doch selbst und seine engsten Leute auch.ruca hat geschrieben: 14.04.2025, 05:41
Als @Steffen42 hier anfangs Trump einen Nazi nannte, fand ich das noch ein wenig übertrieben. Ja, ich hatte mich geirrt, das habe ich schon länger gemerkt.
Er selbst: „Migranten vergiften unser Blut“, „unsere Gegner sind Ungeziefer“, „Ich möchte Generäle, wie Hitler sie hatte“, „Hitler hat auch gute Dinge getan“. Etc.
Vance: „Trump ist Amerikas Hitler“
Unzählige weitere Anekdoten aus seinem Umfeld.
Nach Umberto Ecos Faschismusdefinition checkt er alle Kriterien an. Wenn man es eng fasst, können „echte Nazis“ nur aus Deutschland sein, weil einzigartiges geschichtliches Ereignis. Semantik. Dann halt Neonazi. Ändert aber nichts. Auch nicht, dass er ein Volltrottel ist.
Re: Corona und der Sport
34648NASA steht vor massiven Budgetkürzungen durch Trump-Regierung:
https://www.heise.de/news/NASA-steht-vo ... 50400.html
Wir können zuschauen, wie die Weltmacht in wenigen Wochen von innen zerlegt wird.
https://www.heise.de/news/NASA-steht-vo ... 50400.html
Wir können zuschauen, wie die Weltmacht in wenigen Wochen von innen zerlegt wird.
Re: Corona und der Sport
34649Alles, was irgendwas mit Fakten zu tun hat (also auch Forschung und Wissenschaft) ist eine Bedrohung für Trump.Steffen42 hat geschrieben: 14.04.2025, 06:48 NASA steht vor massiven Budgetkürzungen durch Trump-Regierung:
https://www.heise.de/news/NASA-steht-vo ... 50400.html
Wir können zuschauen, wie die Weltmacht in wenigen Wochen von innen zerlegt wird.
So absurd es klingt: Wir können aktuell froh sein, dass die USA keinen wirklichen öffentlich-rechtlichen Rundfunk haben. Das würde es ihm nämlich deutlich einfacher machen, die Presse gleichzuschalten.
Man stelle sich vor, die AfD würde in Deutschland die öffentlich-rechtlichen schlagartig abschalten oder -noch schlimer- die Kontrolle übernehmen. Dann sind die gewachsenen Strukturen weg.
Re: Corona und der Sport
34650Warten wir mal ab. Gestern hat er seinen FCC-Chef angewiesen, CBS die Sendelizenz zu entziehen. Und eine absurde 20 Milliarden Klage ist auch unterwegs. Dabei dran denken, dass Kanzleien riskieren, abgestraft zu werden, wenn sie Gegner von Trump verteidigen.ruca hat geschrieben: 14.04.2025, 07:11
So absurd es klingt: Wir können aktuell froh sein, dass die USA keinen wirklichen öffentlich-rechtlichen Rundfunk haben. Das würde es ihm nämlich deutlich einfacher machen, die Presse gleichzuschalten.
https://deadline.com/2025/04/trump-60-m ... 236367575/
CNN ist schon einigermaßen „auf Linie“.
