Banner

Barfuss Laufen - das einzig Richtige?

51
Titania_1987 hat geschrieben:Barfusslaufen vs. Schuhlaufen = das Läuferäquivalent zu Vegan vs. Fleischfresser?

Wenn ja, was ein Schwachsinn! Lauft so und mit dem, was euch gut tut. Ihr habt doch nicht die Füße des anderen.
Der Vergleich geht mir auch immer durch den Kopf.
Trackpot hat geschrieben: Ich finde es sehr schade, das solche Themen immer ins Lächerliche gezogen werden......
Lies dir den Eingangspost durch, dann weißt du warum.
Mir ist es vollkommen schnurzpiepe, ob jemand mit oder ohne Schuhe läuft. Ich sehe nur viele Parallelen zu Esoterik und/oder Alternativmedizin.
Irgendwie kommt das Gefühl auf, es gibt einen Missstand (hier: zu hoher Einsatz von technischen Hilfsmitteln beim Laufen), der auch durchaus begründbar sein mag. So wirklich kann es die Person nicht erklären, aber irgendwie scheint es logisch, den "Naturzustand" wieder herzustellen oder zumindest etwas gravierendes zu ändern (das kann beispielsweise der Verzicht auf Schuhe, oder auch tierische Lebensmittel oder auch Kleidung sein*) und das diese Änderung einen Großteil bis alle Probleme auf einem bestimmten Gebiet (meist irgendetwas gesundheitliches) löst. Weil es natürlich unwahrscheinlich ist, dass die Menschheit diese tolle Lösung bisher zu Gänze verschlafen hat oder nicht erkennen kann, muss es natürlich finstere Mächte im Hintergrund (meistens Industrien mit wirtschaftlichem Interesse) geben, die es verschleiern.

*nur zur Erklärung, falls unbekannt: Die Erfinder von FKK in Deutschland fanden auch, dass die Jugend durch Kleidung degeneriere und Geist und Körper eingeengt werden etc., man durch nacktes Sonnenbaden den ganzen Schmutz der Zivilisation abwaschen könne...

52
Trackpot hat geschrieben:ja genau :hihi: Als Lauftroll mit 10 jahren Marathonerfahrung... :daumen: Wenn dich das Thema nicht interessiert, schreib nicht.... und such dir selbst deine Studien :P
Die hat er in anderen Threads dazu schon gepostet. Ergebnis (das auch der foreninterne Guru bestätigt hat): Barfußlaufen ist keinesfalls mehrheitlich oder gar zwangsläufig Vorfußlaufen.

53
Trackpot hat geschrieben:könnte in der Halle barfuss übrigens wegen Rutschgefahr (Schweiss...) gefährlich werden :zwinker2:
Dann darfst Du das eben nicht gerade in der Eishalle ausprobieren. Eine normale Sporthalle tut es für den Anfang auch, und da ist m.W. noch niemand auf bloßen Sohlen ausgerutscht.
Deine Sehnen müssen sich erst an die Belastung Vorfusslauf (Barfusslauf) gewöhnen...
Wer behauptet denn, daß man ohne Schuhe anders auftritt als mit Schuhen? Und wozu braucht man eigentlich ein federndes Fußgewölbe, wenn man barfuß sowieso bloß mit dem Vorfuß auftritt? Und falls doch irgendwann die ganze Sohle auf dem Boden landet: Ist das mit Schuhen anders? Selbst bei Leuten, die mit der Ferse zuerst auftreten, landet doch irgendwann der komplette Fuß auf dem Boden. Ob das Gewölbe nun von vorn her oder von hinten her belastet wird - wo liegt der Unterschied? Oder reden wir hier vielleicht doch eigentlich von Mittelfußaufsatz, egal ob mit oder ohne Schuhe?
Barfusshater
Ist dieser Begriff nun durch das Betriebsklima in diesem Thread gedeckt, oder ist er einfach nur Ausdruck einer gewissen Paranoia bei dem, der ihn verwendet?
Ich finde es sehr schade, das solche Themen immer ins Lächerliche gezogen werden......
Entschuldige, aber für Lächerlichkeit sorgen doch hier höchstens Leute, die mit Begriffen wie
Barfussschuhe
um sich werfen.

54
AchatSchnecke hat geschrieben:man durch nacktes Sonnenbaden den ganzen Schmutz der Zivilisation abwaschen könne...
Das mag ja sehr reizvoll anzuschauen sein - aber was macht man, wenn wieder mal über Wochen der Regen ausbleibt?

55
aghamemnun hat geschrieben:Entschuldige, aber für Lächerlichkeit sorgen doch hier höchstens Leute, die mit Begriffen wie
Barfussschuhe
um sich werfen.
+1

oder
Barfusshater
in die Diskussion einbringen

oder
ein Werbepamphlet als "Studie" bezeichnen

oder
Barfußlauf mit Vorfußlauf gleichsetzen.
"If you want to become a better runner, you have to run more often. It is that easy." - Tom Fleming

56
aghamemnun hat geschrieben:Dann darfst Du das eben nicht gerade in der Eishalle ausprobieren. Eine normale Sporthalle tut es für den Anfang auch, und da ist m.W. noch niemand auf bloßen Sohlen ausgerutscht.
.
du meinst barfuss, nicht "auf bloßen Sohlen" :nick: Dann hast du noch nicht hart genug trainiert :D weiterhin viel Spass beim haten, ich gehe jetzt Radfahren :daumen:
Bestzeiten:

5km: 18:32 (Verfolgungslauf Theiss 2017)
10km: 39:08 (Wilhelmsburger Stadtlauf 2017)
21,1km: 1:28:23 (Vienna City Marathon 2017)
42,2km: 3:15:00 (Salzburg Marathon 2017)

57
Trackpot hat geschrieben: Fange langsam an, 5km sind für den Anfang zu viel, es reichen 10 Minuten konzentriertes Vorfusslaufen... und dann Woche für Woche steigern. Deine Sehnen müssen sich erst an die Belastung Vorfusslauf (Barfusslauf) gewöhnen...
Ein hartes Wort muss an dieser Stelle mal sein. Das ist Bullshit. Wer sich beim Laufen darauf konzentriert, immer schön Vorfuß zu laufen, der kriegt früher oder später derbe Probleme. Wieso kapieren die Leute nicht, das der Fußaufsatz keine Stellschraube ist, an der man was drehen kann, sondern die Konsequenz aus einer langen Bewegungsabfolge? Mit diesen gutgemeinten Tipps ("Muscht halt uffm Vorfuß lande") ging schon manche Wade und Sehne zum Hades. Scheißstil bleibt Scheißstil, egal ob man den Fußballen zuerst auf den Boden tippt oder nicht. Besser gut gedämpft weitergejoggt als mit aller Gewalt auf Vorfuß umsteigen.

So. Nun bin ich wieder ruhig.

Viele Grüße
Schlaks

59
haxedesboesen hat geschrieben:Barfuß, nehm ich an... [url=javascript:void(0)]:P[/url]
Klar, die echten Barfußradfahrer haben sich die Cleats in die Fußsohlen schrauben lassen.

62
Schlaks hat geschrieben:Ein hartes Wort muss an dieser Stelle mal sein. Das ist Bullshit. Wer sich beim Laufen darauf konzentriert, immer schön Vorfuß zu laufen, der kriegt früher oder später derbe Probleme. Wieso kapieren die Leute nicht, das der Fußaufsatz keine Stellschraube ist, an der man was drehen kann, sondern die Konsequenz aus einer langen Bewegungsabfolge? Mit diesen gutgemeinten Tipps ("Muscht halt uffm Vorfuß lande") ging schon manche Wade und Sehne zum Hades. Scheißstil bleibt Scheißstil, egal ob man den Fußballen zuerst auf den Boden tippt oder nicht. Besser gut gedämpft weitergejoggt als mit aller Gewalt auf Vorfuß umsteigen.

So. Nun bin ich wieder ruhig.

Viele Grüße
Schlaks
Natürlich gehört zum Vorfusslauf mehr dazu... Oberkörper nach vorn, Aufsatz unterm Körperschwerpunkt etc....
Meinst du, wenn man all dies beherzigt, dass eine Umstellung vom Fersenlauf auf Vorfusslauf zulässig ist? ;)
Man muss sich auf all die Dinge als Anfänger eben doch konzentrieren. Wenn man den Oberkörper zu aufrecht hat, in der Hüfte einknickt oder was weiß ich, funktioniert es mit dem Fussaufsatz eben auch nicht. Man muss sich also schon auf alles in Gänze konzentrieren in der Hoffnung, dass der Körper dies verinnerlicht.
Ich glaube auch nichts anderes hat der Kollege (und auch ich im Nachgang) damit gemeint.

63
Da habe ich ja eine Diskussion losgetreten.... :hallo:

Ich habe meine Frage bewusst provokativ gestellt, daß das aber so eine Lawine auslöst hätte ich nicht gedacht.
Ich bin auch eher ein Feind des Schwarz/Weiss Denkens....

auf jeden Fall danke für die Denkanstösse und viele Spass beim weiterhin "regen" Austausch.

64
MarkyMcFly hat geschrieben:Natürlich gehört zum Vorfusslauf mehr dazu... Oberkörper nach vorn, Aufsatz unterm Körperschwerpunkt etc....
Meinst du, wenn man all dies beherzigt, dass eine Umstellung vom Fersenlauf auf Vorfusslauf zulässig ist? ;)
...
Lies doch bitte den Beitrag von Schlaks noch einmal. Du hast ihn nicht verstanden. Barfußlaufen ist nicht das selbe wie Vorfußlaufen! Wer stets Vorfuß läuft, und im schlimmsten Fall auch noch krampfhaft und künstlich, handelt sich mit großer Wahrscheinlichkeit neue Probleme ein. Auch Vorfuß kann man Fuß und Bein in den Boden rammen!

@running_werner
Das ist weder schön noch lustig! Wenn man schon so lang im Forum dabei ist, sollte man auch gewillt sein sich etwas einzulesen. Das Thema wurde schon oft genug diskutiert, so dass es allen beteiligten schon zum Hals raushängt. Über Gegenwind sollte man sich dann nicht freuen sondern in Zukunft bedachter neue Threads eröffnen und sich zuvor auch schlau machen.

65
Catch-22 hat geschrieben:Lies doch bitte den Beitrag von Schlaks noch einmal. Du hast ihn nicht verstanden. Barfußlaufen ist nicht das selbe wie Vorfußlaufen! Wer stets Vorfuß läuft, und im schlimmsten Fall auch noch krampfhaft und künstlich, handelt sich mit großer Wahrscheinlichkeit neue Probleme ein. Auch Vorfuß kann man Fuß und Bein in den Boden rammen!
Ich denke schon, dass ich ihn verstanden habe...
Ich finde es sehr nerv tötend, sich an Feinheiten irgendwelcher Definitionen festzuhalten. Sowohl Vorfusslauf als auch Barfusslauf (der oft mit dem Vorfusslauf einhergeht) meint doch eigentlich den natürlichen und damit gesunden Laufstil.
Ok, der Fussaufsatz ist die Konsequenz einer Bewegungsabfolge. bin ich ja dabei. Wenn aber jemand sagt "du musst auf dem Vorfuss landen", dann meint er eigentlich, "du soll eine gute Lauftechnik haben" ....

66
MarkyMcFly hat geschrieben:Wenn aber jemand sagt "du musst auf dem Vorfuss landen", dann meint er eigentlich, "du soll eine gute Lauftechnik haben" ....
Woher soll man wissen was jemand meint, wenn er das Gegenteil sagt?
"Ich habe es immer geliebt, zu laufen. Es war etwas was man einfach so machen konnte. Du konntest in jede Richtung laufen, schnell oder langsam, gegen den Wind ankämpfen wenn du wolltest, neue Umgebungen kennenlernen mit der Kraft deiner Füße und dem Mut deiner Lungen." (Jesse Owens)

Wichtiger Hinweis: https://joachim-zelter.de/wp-content/up ... /PDF.9.pdf

67
MarkyMcFly hat geschrieben:Ich denke schon, dass ich ihn verstanden habe...
Ich finde es sehr nerv tötend, sich an Feinheiten irgendwelcher Definitionen festzuhalten. Sowohl Vorfusslauf als auch Barfusslauf (der oft mit dem Vorfusslauf einhergeht) meint doch eigentlich den natürlichen und damit gesunden Laufstil.
Ok, der Fussaufsatz ist die Konsequenz einer Bewegungsabfolge. bin ich ja dabei. Wenn aber jemand sagt "du musst auf dem Vorfuss landen", dann meint er eigentlich, "du soll eine gute Lauftechnik haben" ....
Ich glaub nicht, dass du es verstanden hast....
Schlaks hat geschrieben:Wer sich beim Laufen darauf konzentriert, immer schön Vorfuß zu laufen, der kriegt früher oder später derbe Probleme. Wieso kapieren die Leute nicht, das der Fußaufsatz keine Stellschraube ist&#8230]
Und die Frage ist, wenn jemand x Jahre Fersenlauf oder Mittelfußlauf praktiziert, weil er es nun einmal tut und dann sich auf Vorderfuß umerziehen lassen muss, ist es dann Vorderfuß ein natürlicher Laufstil?

Erinnert mich an die Umerziehung von Linkshändern zu Rechtshändern, weil das ja das natürliche und richtige sei... :klatsch: (Klar, Äpfel und Birnen, aber auch beides Obst)
PBs:
1km: 4:27.3 min (T, 08.17)
5km: 24:25 min (07.17)
10 km: 49:46 min (07.17)
15km: 1:20:xx h (09.17)
HM 01:53:xx h (09.17)

T = Im Training aufgestellte PB

68
bones hat geschrieben:Woher soll man wissen was jemand meint, wenn er das Gegenteil sagt?

weils nicht das Gegenteil ist...
Wer stets Vorfuß läuft, [...], handelt sich mit großer Wahrscheinlichkeit neue Probleme ein
Den Satz habe ich gelesen.... und ich teile diese Meinung nicht.
Warum verletzt man sich dann? Wenn überhaupt, weil man zu schwache Muskelatur hat, weil Sehnen und Bänder es nicht gewöhnt sind... aber der menschliche Körper kann es! Wir haben alle ähnliche Voraussetzungen. Man muss nur was draus machen...

69
Schlaks hat geschrieben:Ein hartes Wort muss an dieser Stelle mal sein. Das ist Bullshit. Wer sich beim Laufen darauf konzentriert, immer schön Vorfuß zu laufen, der kriegt früher oder später derbe Probleme.
ich rede nur vom Barfusslaufen, da laufe ich sehr wohl bewusst Vorfuss und achte sehr genau auf den Laufstil, lauf mal Barfuss auf der Ferse :D Wie gesagt ist das Barfusslaufen ein Zusatz-Training um wieder bewusst in den eigenen Körper zu hören, wer das übertreibt, handelt sich natürlich orthopädische Probleme ein... ist ja ganz einfach, wenn jemand jahrelang nur mit gedämpften Sportschuhen läuft, am besten viel Sprengung, meist abrollend auf der Ferse (also joggt) und sich dann einen Barfussschuh oder Minimalschuh holt und den Umfang beibehält, wird ein grosses Aua bekommen...... und zum Thema Scheißstil bleibt Scheißstil..... es gibt Laufschulen, wo man Chirunning, Laufökonomie etc wieder neu erlernen kann oder sich seines schlechten Stils wieder bewusst wird und daran arbeiten kann
Bestzeiten:

5km: 18:32 (Verfolgungslauf Theiss 2017)
10km: 39:08 (Wilhelmsburger Stadtlauf 2017)
21,1km: 1:28:23 (Vienna City Marathon 2017)
42,2km: 3:15:00 (Salzburg Marathon 2017)

70
MarkyMcFly hat geschrieben:Ich finde es sehr nerv tötend, sich an Feinheiten irgendwelcher Definitionen festzuhalten. Sowohl Vorfusslauf als auch Barfusslauf (der oft mit dem Vorfusslauf einhergeht) meint doch eigentlich den natürlichen und damit gesunden Laufstil.
Feinheiten? Sowohl Vorfuß- als auch Barfußlauf sind recht klar definiert, und da bestehen kaum Gemeinsamkeiten:
Vorfußlauf: man landet zuerst auf dem Vorfuß, egal ob in Schuhen oder barfuß.
Barfußlauf: man läuft ohne Schuhe (und ohne Socken, Strümpfe etc.), egal ob man auf dem Vorfuß, Mittelfuß, oder der Ferse zuerst landet.

Weiterhin ist der Zusammenhang mit dem natürlichen Laufstil nur beim Barfußlauf offensichtlich, nicht beim Vorfußlauf, da personen-, strecken- und geschwindigkeitsabhängig sowohl der Mittelfuß- als auch der Fersenlauf der natürliche Laufstil sein können.
"If you want to become a better runner, you have to run more often. It is that easy." - Tom Fleming

71
MarkyMcFly hat geschrieben:Ich denke schon, dass ich ihn verstanden habe...

Ich denke, du hast mich eher nicht verstanden. Vorfußlauf heißt, dass man auf dem Vorfuß läuft und Barfußlauf heißt, dass man ohne Schuhe läuft. Nicht mehr, nicht weniger.

Das eine oder das andere mit einem natürlichen und gesunden Laufstil gleichzusetzen ist ein wenig... eindimensional.

Nochmal: Es ist vöööööööööööööööööööööööööööööööööööööllig egal, mit welchem Teil der Fuß zuerst aufsetzt. Nutz mal die Suchfunktion hier im Forum, es gibt viele Detailaufnahmen von Profiläufern, bei denen alle möglichen Aufsatzpunkte vorliegen. Nicht nur Vorfuß.

Catch-22 hat mich übrigens verstanden :-)

Lauf wie du willst, wegen mir auch gerne ausschließlich auf dem Vorfuß oder dem Ohrläppchen. Letzteres soll total natürlich und gesund sein.

Viele Grüße und nichts für ungut
Schlaks

72
Titania_1987 hat geschrieben:Ich glaub nicht, dass du es verstanden hast....
nee, dann eben nicht...


Und die Frage ist, wenn jemand x Jahre Fersenlauf oder Mittelfußlauf praktiziert, weil er es nun einmal tut und dann sich auf Vorderfuß umerziehen lassen muss, ist es dann Vorderfuß ein natürlicher Laufstil?
Wenn jemand jahrelang auf der Ferse läuft bzw den Fuss aufsetzt, der tut er es nicht einfach so... er tut es, weil der Laufschuh es ihm erlaubt... und sein Körper auch für eine gewisse Zeit... bis die Verschleissteile durch sind.

73
Schlaks hat geschrieben: Nochmal: Es ist vöööööööööööööööööööööööööööööööööööööllig egal, mit welchem Teil der Fuß zuerst aufsetzt. Nutz mal die Suchfunktion hier im Forum, es gibt viele Detailaufnahmen von Profiläufern, bei denen alle möglichen Aufsatzpunkte vorliegen. Nicht nur Vorfuß.
Das ist Bullshit!!! :zwinker2:

Nur gehen sollte man auf der Ferse.....
Bestzeiten:

5km: 18:32 (Verfolgungslauf Theiss 2017)
10km: 39:08 (Wilhelmsburger Stadtlauf 2017)
21,1km: 1:28:23 (Vienna City Marathon 2017)
42,2km: 3:15:00 (Salzburg Marathon 2017)

74
D-Bus hat geschrieben:
Barfußlauf: man läuft ohne Schuhe (und ohne Socken, Strümpfe etc.), egal ob man auf dem Vorfuß, Mittelfuß, oder der Ferse zuerst landet.
Gibt's denn Personen, die Barfuß auf der Ferse laufen? Hielt ich bislang für ausgeschlossen...

75
Wiederum die Frage, wieso man bei einem natürlichen Fersenlauf (ich setz das jetzt mal als natürlich) mehr verschleißen sollte als bei einem antrainierten Vorderfußlauf.

Und wenn der Schuh mir nicht erlaubt, den für mich natürlichen Fersenlauf zu praktizieren, sondern mich zwingt, den Voderfußlauf zu praktizieren, weiß ich nicht, ob das so vorteilhaft ist.
PBs:
1km: 4:27.3 min (T, 08.17)
5km: 24:25 min (07.17)
10 km: 49:46 min (07.17)
15km: 1:20:xx h (09.17)
HM 01:53:xx h (09.17)

T = Im Training aufgestellte PB

77
Trackpot hat geschrieben:Das ist Bullshit!!! :zwinker2:
Na dann.
MarkyMcFly hat geschrieben:Wenn jemand jahrelang auf der Ferse läuft bzw den Fuss aufsetzt, der tut er es nicht einfach so... er tut es, weil der Laufschuh es ihm erlaubt... und sein Körper auch für eine gewisse Zeit... bis die Verschleissteile durch sind.
Habt ihr euch meinen Avatar angesehen? Ich laufe pro Jahr rund 1800 km in Minimalschuhen, meist Sandalen. Anfang 2015 hatte ich sechs Wochen Laufpause, weil ich dem gleichen Vorfußwunderglauben aufgesessen bin wie ihr.

Die Gleichung Vorfußlauf = "gesund und natürlich" geht nicht auf, wenn man es falsch macht. Daher reagiere ich allergisch auf solche Behauptungen. Fakt ist, das bei richtiger Technik die Belastungsspitze im Fuß in einem Moment auftritt, in dem der ganze Fuß, d.h. Zehen, Ballen und Ferse am Boden ist. Nur dann kann ein Gewölbe Sinn ergeben. Ob nun ein paar Millisekunden vorher der Kleinzehballen, der Großzehballen oder die Ferse zuerst aufkommt ist... vööööööööööööööööllig Latte.

Aber nun lass ich es wirklich gut sein.

Viele Grüße
Schlaks

78
Titania_1987 hat geschrieben:Wiederum die Frage, wieso man bei einem natürlichen Fersenlauf (ich setz das jetzt mal als natürlich) mehr verschleißen sollte als bei einem antrainierten Vorderfußlauf.
Physik.
Kinder laufen übrigens von sich aus auf dem Vorfuss oder Mittelfuss, zumindest beobachte ich dies so bei meinen Enkeln. Ist vllt nicht repräsentativ, weil die Anzahl meiner Enkel unter 1000 liegt.
Und wenn der Schuh mir nicht erlaubt, den für mich natürlichen Fersenlauf zu praktizieren, sondern mich zwingt, den Voderfußlauf zu praktizieren, weiß ich nicht, ob das so vorteilhaft ist
Wer Barfuss über die ferse laufen kann, der kann es auch mit einem Schuh. Es gibt keinen Schuh, der dich auf den Vorfuss zwingt. Es gibt nur Schuhe, die dich zum fersenlauf verleiten.

79
Schlaks hat geschrieben:Na dann.




Die Gleichung Vorfußlauf = "gesund und natürlich" geht nicht auf, wenn man es falsch macht. Daher reagiere ich allergisch auf solche Behauptungen. Fakt ist, das bei richtiger Technik die Belastungsspitze im Fuß in einem Moment auftritt, in dem der ganze Fuß, d.h. Zehen, Ballen und Ferse am Boden ist. Nur dann kann ein Gewölbe Sinn ergeben. Ob nun ein paar Millisekunden vorher der Kleinzehballen, der Großzehballen oder die Ferse zuerst aufkommt ist... vööööööööööööööööllig Latte.
Bin ich bei dir. Das meine ich mit Spitzfindigkeiten was die Definition angeht. Natürlich darf die Ferse den Boden berühren, meinetwegen soll sie sogar. Aber der Druck auf dem Fuss ist klar woanders; nämlich vorne.
Vorfusslauf muss man nicht zwangsweise sehen, aber der Läufer sollte ihn spüren!

80
Wenn Kinder auf Vorfuß und Mittelfuß laufen, wir Erwachsenen aber nicht, stellt sich die Frage – und ich meine das völlig ernst! –, ob wir die Fähigkeit von Natur aus verlieren oder aus sozio-kulturellen Gründen.

Generell finde ich es aber schwierig, zu sagen, von Kindern auf Natürlichkeit zu schließen. Klar, sie sind noch weitaus weniger verdorben als wir Erwachsene, aber es gibt so vieles, was wir im Laufe unseres Lebens ändern bzw. verlieren, weil es die Natur verlangt.

Ich glaube, da spielen einfach viel mehr Mechanismen hinein, wie wir laufen. Ich würde tatsächlich da sagen, dass es – ähnlich wie Rechts- und Linkshänder – Vorfüßler, Mittelfüßler und Fersler gibt.

(Ich find die Diskussion übrigens spannend)
PBs:
1km: 4:27.3 min (T, 08.17)
5km: 24:25 min (07.17)
10 km: 49:46 min (07.17)
15km: 1:20:xx h (09.17)
HM 01:53:xx h (09.17)

T = Im Training aufgestellte PB

81
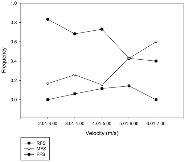
MarkyMcFly hat geschrieben:Gibt's denn Personen, die Barfuß auf der Ferse laufen? Hielt ich bislang für ausgeschlossen...
Ja. Beobachtung an einem natürlichen Barfußvolk in Kenia: mehrheitlich (Barfuß)Fersenläufer (s. hier):
"Most Daasanach subjects used a rearfoot strike (A) at their self-selected endurance running speeds"
-> Die Mehrheit landete barfuß auf der Ferse.
RFS: RearFootStrike = Fersenlauf;
MFS: MiddleFootStrike = Mittelfußlauf;
FFS: ForeFootStrike = Vorfußlauf.

Hier eine Tabelle aus einem Übersichtsartikel (eine Studie von Studien, sozusagen):
Description of sample - - - - - - - - - - n - Foot strike type (%)
- - - - - - - - - - - - - - - - - - - - - - - - - - RF - - MF - - FF
9 km mark of 10 km race- - - - - - - - - - - 628 - 81.0 - 19.0 - 0.0
20 km mark of marathon - - - - - - - - - - - 125 - 79.0 - 21.0 - 0.0
35 km mark of marathon- - - - - - - - - - - - 84 - 82.0 - 18.0 - 0.0
15 km mark of elite half marathon- - - - - - 283 - 74.9 - 23.7 - 1.4
10 km mark of relay, half, full marathon - - 881 - 94.5 - 3.6 - 1.9
Marathoners only at 10 km into race- - - - - 264 - 95.1 - 3.4 - 1.5
Marathoners only at 32 km into race- - - - - 276 - 96.4 - 3.6 - 0.0
Women's 800 m track - - - - - - - - - - - - - 34 - 32.0 - 41.0 - 27.0
Women's 1500 m track- - - - - - - - - - - - - 24 - 33.0 - 42.0 - 25.0
Men's 800 m track - - - - - - - - - - - - - - 71 - 15.0 - 50.0 - 35.0
Men's 1500 m track- - - - - - - - - - - - - - 52 - 26.0 - 37.0 - 37.0
8.1 km mark of marathon - - - - - - - - - - 1151 - 93.2 - 6.2 - 0.6
Barefoot, 350 m into a 2-mile run on asphalt 169 - 20.7 - 20.1 - 59.2
Vibram, 350 m into a 2-mile run on asphalt- - 42 - 47.6 - 19.1 - 33.3


-> Da kann man schön sehen, wie der Vorfuß-/Mittelfuß-/Fersenlauf von Geschwindigkeit/Strecke und Schuhwerk abhängt.
Je länger der WK, desto größer der Anteil der Fersenläufer.
Und siehe, selbst barfuß in einem kurzen WK landen 40% nicht auf dem Vorfuß (20% auf der Ferse).
Und in den Vibram Fivefingers landeten deutlich mehr auf der Ferse als auf dem Vorfuß.

Und hier ein Bild von einem 10er Wettkampf:
"If you want to become a better runner, you have to run more often. It is that easy." - Tom Fleming

82
lazydaisy hat geschrieben:Ok, wieder was gelernt. Wenn barfuß in der Überschrift steht, weiterklicken und Fresse halten. Mach ich dann in Zukunft.
Oder sachlich über Barfußlaufen schreiben, und weder Vorfußlauf mit Barfußlauf gleichsetzen noch die Vorteile flacher, wenig gedämpfter Schuhe anpreisen.
"If you want to become a better runner, you have to run more often. It is that easy." - Tom Fleming

83
@ Schlaks, ich laufe auch schon jahrelang mit Barfussschuhen (meine ersten Fivefingers sind von 2007 oder 2008, jedenfalls noch mit Leinenstoff anstelle des jetztigen Plastiks ;-) Das Problem bei dieser ganzen Internetdiskussion hier ist, das man sich wegen Kleinigkeiten hier schreiberisch so an die Köppe bekommt, weil man den anderen immer falsch versteht, es fehlt einfach der Interpretationsfreiraum..... Wenn ich vom Barfusslaufen schreibe meine ich nicht, ohne alles, nackter Fuss auf Asphalt, sondern in Fivefingers, du meinst in Huaraches andere Minimalschuhe wie Merrels, andere wiederum meinen wirklich Barfuss...und doch geht es ja eigentlich um den Laufstil. Du läufst in deinen Huaraches ja auch nicht auf der Ferse, sondern Mittelfuss oder Vorfuss und natürlich berührt dabei auch deine Ferse den Boden... aber nicht zu allererst, wie bei ca. 80% der anderen Jogger hier, die mit gedämpften Sportschuhen durch die Gegend stiefeln....
Bestzeiten:

5km: 18:32 (Verfolgungslauf Theiss 2017)
10km: 39:08 (Wilhelmsburger Stadtlauf 2017)
21,1km: 1:28:23 (Vienna City Marathon 2017)
42,2km: 3:15:00 (Salzburg Marathon 2017)

84
Beim Thema gedämpfte Schuhe und Barfußlauf bin ich irgendwie gespalten.

ich habe Hallux Valgus an beiden Füßen. Bei nicht gedämpften Schuhen tut das sehr weh inkl. Krämpfe und allem. Auch nutze ich die Kayanos, weil sie die Überpronation etwas ausgleichen. Also ich kann schmerzfrei und ganz normal laufen. Ich würde darauf nicht verzichten wollen und find es etwas bedenklich, wenn hier dagegen argumentiert wird.

Wie wäre das aber bei Barfußlaufen? Barfuß ist ja im "zivilen" Alltag die angenehmste Variante für Hallux Valgus-"Besitzer". Da merkst von der Verformung nichts. Aber wäre das beim Laufen genauso?

Ich laufe übrigens nicht auf der Ferse, sondern Mittelfuß.
PBs:
1km: 4:27.3 min (T, 08.17)
5km: 24:25 min (07.17)
10 km: 49:46 min (07.17)
15km: 1:20:xx h (09.17)
HM 01:53:xx h (09.17)

T = Im Training aufgestellte PB

85
Trackpot hat geschrieben:...und doch geht es ja eigentlich um den Laufstil.
Eben! Und die entscheidet sich nicht am Vorfuß.
Trackpot hat geschrieben:Du läufst in deinen Huaraches ja auch nicht auf der Ferse, sondern Mittelfuss oder Vorfuss und natürlich berührt dabei auch deine Ferse den Boden... aber nicht zu allererst, wie bei ca. 80% der anderen Jogger hier, die mit gedämpften Sportschuhen durch die Gegend stiefeln....
Da bin ich mir nicht so sicher. Die Ferse kann durchaus mal zuerst aufkommen, besonders bergab oder im technischen Terrain. Meine Schlappen lösen sich im Ballenbereich zuerst auf, was auf Vor- oder Mittelfußlauf hindeutet.

Um auf dein tatsächliches Argument einzugehen: Auch wenn ich gelegentlich wie die Dame aus Marburg mit den Fersen zuerst auf dem Boden aufkomme, ich haue die Ferse nie in den Boden wie ein langschrittiger, niederfrequenter Jogger mit Gelkissen unter den Fersen. Interessanterweise kann man Lauftechnik auch hören, bzw. eben nicht. Seitdem meine Technik einigermaßen sitzt, erlebe ich viel mehr Viecher im Wald als vorher :-)

Viele Grüße
Schlaks

86
Titania_1987 hat geschrieben: Wie wäre das aber bei Barfußlaufen? Barfuß ist ja im "zivilen" Alltag die angenehmste Variante für Hallux Valgus-"Besitzer". Da merkst von der Verformung nichts. Aber wäre das beim Laufen genauso?
Probier es doch einfach mal aus... Such dir eine einigermaßen saubere Strecke und lauf mal einen halben Kilometer barfuß. Kostet ja nix. Wenn es sich gut anfühlt, kannst du immer noch ein paar Schlappen kaufen.

Viele Grüße
Schlaks

87
Ich fand es bei Steffny recht schön dargestellt, daß es die eine Wahrheit bzgl. Laufstil nicht gibt:
Ratgeber Laufstil Vorfulauf Mittelfulauf Fersenlauf Rckfulauf Ballenlauf Laufen Jogging Marathon Herbert Steffny
Irgendwo auf youtube hab ich auch mal eine schöne Analyse gesehen, dass es für die Kategorisierung auch weniger drauf ankommt, ob man jetzt knapp mit der Ferse zuerst landet. Entscheidend wäre eher, von wo der Abdruck ausgeht.
Angefangen: 17.9.2015, PB 5km: 19:06 (8.1.2017), 10 km: 39:39 (05.02.2017), HM: 1:26:54 (07.10.2018), M: 3:27:35 (30.4.2017) https://runalyze.com/shared/Jde/

88
Trackpot hat geschrieben: Das Problem bei dieser ganzen Internetdiskussion hier ist, das man sich wegen Kleinigkeiten hier schreiberisch so an die Köppe bekommt, weil man den anderen immer falsch versteht, es fehlt einfach der Interpretationsfreiraum.....
Eigentlich besteht das Problem im direkten, mündlichen Gespräch genauso, wenn man sich nicht präzise ausdrückt. Und die Behauptung, dass Barfußlaufen = Vor-/Mittelfußlaufen ist, grassiert im Internet.

89
AchatSchnecke hat geschrieben:Und die Behauptung, dass Barfußlaufen = Vor-/Mittelfußlaufen ist, grassiert im Internet.
+1, ich ergänze mal

Barfußlaufen = Vor-/Mittelfußlaufen = Gesund und Schnell
und
Mit Schuhen laufen = Fersenlaufen = Verletzungsanfällig und Langsam

90
Wo wir schon wieder bei den ideologischen Grundsatzdiskussionen wären
PBs:
1km: 4:27.3 min (T, 08.17)
5km: 24:25 min (07.17)
10 km: 49:46 min (07.17)
15km: 1:20:xx h (09.17)
HM 01:53:xx h (09.17)

T = Im Training aufgestellte PB

91
Titania_1987 hat geschrieben:Wo wir schon wieder bei den ideologischen Grundsatzdiskussionen wären
Ist doch klar, dass das bei der Fragestellung: "das einzig Richtige" dahin führen muss. Ideologen waren schon immer große Vereinfacher.

94
Steffen42 hat geschrieben:+1, ich ergänze mal

Barfußlaufen = Vor-/Mittelfußlaufen = Gesund und Schnell
und
Mit Schuhen laufen = Fersenlaufen = Verletzungsanfällig und Langsam
+1

Gerade beim Vorfußlaufen, wenn ordentlich Zug auf die Sehnen kommt, erfreuen sich Achilles-, Plantar- und Schienbeinsehnenentzündungen großer Beliebtheit. :D
"Ich habe es immer geliebt, zu laufen. Es war etwas was man einfach so machen konnte. Du konntest in jede Richtung laufen, schnell oder langsam, gegen den Wind ankämpfen wenn du wolltest, neue Umgebungen kennenlernen mit der Kraft deiner Füße und dem Mut deiner Lungen." (Jesse Owens)

Wichtiger Hinweis: https://joachim-zelter.de/wp-content/up ... /PDF.9.pdf

96
Titania_1987 hat geschrieben:Wie wäre das aber bei Barfußlaufen? Barfuß ist ja im "zivilen" Alltag die angenehmste Variante für Hallux Valgus-"Besitzer". Da merkst von der Verformung nichts. Aber wäre das beim Laufen genauso?
Jawohl.
Die Laufschule Marburg
Twitter
Video-Anleitung zur Selbsthilfe bei Überpronationsproblemen

"Barfuß - das ist ehrlich!" (Zuschauer eines Straßenlaufs in Marburg, während ihn eine Barfußläuferin passiert)

Persönliche Bestzeiten

5.000 m (Bahn) in 21:39 (barfuß) - Bahnlauf des ASC Breidenbach, 6.9.2013
10.000 m (Bahn) in 45:14 (barfuß) - Kreismeisterschaften in Eschenburg-Eibelshausen, 09.10.2015
10 km (Straße) in 46:16 (barfuß) - 31. Marburger Ahrens-Stadtlauf, 29.9.2013
HM in 1:41:53 (barfuß) - 16. Schottener Stauseelauf, 5.10.2013

99
Hallo zusammen.

Ahaaa, ein "Barfuß vs Schuhe" bzw Vorfuß Faden. Und jährlich grüßt das Murmeltier.

Bin ja eigentlich auch Barfuß verfechter (in meinen Socken z.B. laufe ich fast ausschließlich barfüßig).

Zur Zeit fahre ich allerbings viel MTB und da komme ich barfuß mit den Bärenfallen noch nicht so gut zurecht.
Antworten

Zurück zu „Gesundheit & Medizin“