Banner

Nike Vaporfly 4% - auch für Hobbyläufer von Vorteil?

151
ruca hat geschrieben:Nach der Definition wäre also auch sowas möglich:

https://de.wikipedia.org/wiki/Bouncen_(Sport)
:daumen: Mach ein wenig Schaumstroff drumherum und du hast den Nike Bouncefly 40%.


Aber in der Tat, nichts anderes macht Nike auch, das Prinzip ist ja simpel, Energie aufnehmen und effizient wieder abgeben.

Btw. wäre sicher gruselig zu sehen wie sich eine Startmasse wie in Berlin mit diesen Dingern in Bewegung setzen würde. Tote wären sicher nichts ungewöhnliches.

Des Weiteren stellt sich mir die Frage der Ermüdung bei solchen Dingern. Denn Energie erzeugen die Dinger auch nicht von alleine, und wie stark die Erhaltungseffizienz ist ist auch von Interesse. Kennt sich da einer aus? Es gibt doch bestimmt schon Leute die damit Marathon gelaufen sind, alles andere würde mich wundern.
Bild
Über mich
wo ich herkomme Am Anfang war da der Bauchspeck und wo ich zuletzt gelaufen bin Joels Daily Challenge - Streakrunning

152
alcano hat geschrieben: Gute Frage. Keine Ahnung (auch keine Ahnung, wie Nike das misst, um auf oben genannte Zahlen zu kommen).
VO2 Unterschied ist ziemlich simpel zu messen. Kraftwiedergaben eigentlich auch.

154
Rolli hat geschrieben:VO2 Unterschied ist ziemlich simpel zu messen. Kraftwiedergaben eigentlich auch.
Ich meinte die Energierückgabe des Schaums. Ist bestimmt auch simpel zu messen. Ich habe nur keine Ahnung, wie das gemacht wird.
"The curious paradox is that when I accept myself just as I am, then I can change." Carl Rogers
"The idea that the harder you work, the better you're going to be is just garbage. The greatest improvement is made by the man or woman who works most intelligently." Bill Bowerman
"It is remarkable how much long-term advantage people like us have gotten by trying to be consistently not stupid, instead of trying to be very intelligent." Charlie Munger
"Don’t go there until you need to go there." Steve Magness

155
Eine Frage an alle Nike Vaporfly 4% Besitzer (oder zukünftige Besitzer) hier, vor allem an die jenigen, die sehr stark davon ausgehen, dass diese Schuhe viel mehr bringen verglichen mit anderen Laufschuhen:

Werdet ihr die Nike Vaporfly 4% bei den Wettkämpfen weitertragen auch wenn sie nicht verboten sind?
Und warum?

156
Rajazy hat geschrieben:Werdet ihr die Nike Vaporfly 4% bei den Wettkämpfen weitertragen auch wenn sie nicht verboten sind?
Wenn sie nicht verboten sind, na klar! :D

Aber ich verstehe deine Frage schon richtig: wenn sie verboten wären, würde ich sie wahrscheinlich nicht mehr tragen. Das ist wahrscheinlich ähnlich wie beim Doping mit irgendwelchen Mittelchen: ich laufe in einer Klasse, wo ich niemals getestet würde, aber genauso wenig spielt die Zeit, die am Ende herauskommt, irgendeine Rolle für die Öffentlichkeit oder mein finanzielles Wohlbefinden. Und für mich selbst brauche ich den Ego-Boost aus unerlaubten Hilfsmitteln nicht.
VG Frank
5km - 19:38 (2009) ~ 10km - 40:02 (2011) ~ 15km - 61:07 (2010) ~ 10M - 67:37 (2009) ~ HM - 1:29:01 (2008) ~ M - 3:14:29 (2012)
Nächster Wettkampf: TBD

158
Dass die aktuell erhältlichen Schuhe also 4% und Next% verboten werden halte ich ehrlicherweise auch für unwahrscheinlich. Vermutlich wird es ne Höhenbeschränkung oder ähnliches geben. Dann wird es für den Alphafly halt knapp, aber ich glaube nicht, dass dies die aktuellen Modelle betrifft.

159
*Frank* hat geschrieben:ich laufe in einer Klasse, wo ich niemals getestet würde, aber genauso wenig spielt die Zeit, die am Ende herauskommt, irgendeine Rolle für die Öffentlichkeit oder mein finanzielles Wohlbefinden. Und für mich selbst brauche ich den Ego-Boost aus unerlaubten Hilfsmitteln nicht.
Ist es kein Ego-Boost, wenn das Hilfsmittel erlaubt ist? :teufel:
"The curious paradox is that when I accept myself just as I am, then I can change." Carl Rogers
"The idea that the harder you work, the better you're going to be is just garbage. The greatest improvement is made by the man or woman who works most intelligently." Bill Bowerman
"It is remarkable how much long-term advantage people like us have gotten by trying to be consistently not stupid, instead of trying to be very intelligent." Charlie Munger
"Don’t go there until you need to go there." Steve Magness

160
Rajazy hat geschrieben:Werdet ihr die Nike Vaporfly 4% bei den Wettkämpfen weitertragen auch wenn sie nicht verboten sind?
Und warum?
Also wenn sie nicht nicht verboten wären :zwinker2: , dann ... hm, gute Frage? :gruebel: Da ich es für unwahrscheinlich halte, dass die bestehende Modelle verboten werden, habe ich mich bisher nicht groß mit der Frage befasst.

Ich denke, das würde zunächst mal primär darauf ankommen, ob der Veranstalter des WKs für nicht-Elite Läufer die Schuhe verbietet oder nicht. Soll heißen, wenn die Schuhe für mich verboten wären, würde ich mich natürlich auch an das Verbot halten. Wenn sie für mich nicht verboten wären, dann wird es komplizierter. Zumindest das schon vorhandene Paar würde ich dann vermutlich schon noch benutzten. Einerseits "betrüge" ich mich ja eh primär selbst, und anderseits würden die meisten Mitläufer das Modell wohl ebenfalls weiter tragen. Und außerdem finde ich die Schuhe unabhängig von der Geschwindigkeit einfach verdammt angenehm zu tragen. Und wenn sie dabei sogar noch die Muskeln schonen, sehe ich nicht so recht ein, "grundlos" auf diesen Vorteil für mich zu verzichten. :noidea: (Und im Gegensatz zu Doping wären diese Vorteile ja auch nicht fahrlässig durch Gesundheitsrisiken erkauft.)

Ob ich mir dann noch mal ein neues Paar anschaffen würde, wenn das vorhandene durch ist, keine Ahnung? Vermutlich würde Nike im Falle eines Verbots eh schnell eine modifizierte Version heraus bringen, die das Verbot umgeht und ich würde dann einfach darauf umsteigen.

161
Ich seh es für mich ganz locker.
Was bringen mir 1-5% mehr Energierückgabe durch einen bestimmten Schuh im Wettkampf?
Ich laufe bloß für eine PB oder manchmal auch bloß für das gute Gefühl alles gegeben zu haben.

Wenn ich also meine Zeiten mit mir selbst vergleichen möchte, dann wäre es doch Selbstbetrug wenn ich mich auf einem WK mit Spezialschuhe ausstatte.
Ich wüsste dann im besten Fall, dass ich die PB an dem Tag aufgestellt habe, als ich die "Wunderschuhe "getragen hatte.
Ich wüsste aber nicht, ob ich ohne diese Schuhe auch eine ähnliche neue PB aufgestellt hätte. Ich wüsste nicht ob ich mich verbessert hätte.

Ausserdem sind die Schuhe doch bloß ein Mosaikstein im Puzzle, welches sich Renntag nennt.
Ich hatte vor kurzen bereits mal geschrieben, dass meine PB auf 10km Strassenlauf ausgerechnet an einem Tag erlaufen wurde,
an dem nach normalem Verständniss keine Bestzeiten gelaufen werden.
Ich hatte schlecht geschlafen, Kopfschmerzen und es war mit -2°C (gefühlte -11°C) aussergewöhnlich kalt, hinzu kam starke Sturmböen als Gegenwind (kein Rundkurs sondern ein Ost-West/Start-Ziellauf)

Bei der Startaufstellung war die Hoffnung bloß ins Ziel laufend ankommen.
Ich weiß nicht wieso, weshalb und warum aber ich blieb über 20 Sekunden unter meiner PB.

Im Ziel konnte ich mich erst gar nicht über meine Zeit freuen.
Ich musste ständig mir ausmalen was gewesen wäre wenn die Umstände des Laufes besser gewesen wären - was wäre drin gewesen an diesem Tag?

Letzlich habe ich meine PB seit dem auch bei idealem Laufwetter und gefühlter Topform nicht mehr unterbieten können.

Für mich ist dies klar ein Beweis dafür, dass Rennen mehr im Kopf entschieden werden als in Laufschuhe.

An diesem Tag lief ich PB, weil ich wusste ich habe keine Chance auf eine gute Zeit und meine einzige Möglichkeit bei dieser sibirischen Kälte ins Ziel zu kommen, war es immer den Windschatten der Vorderläufer zu nutzen.
Also bin ich von dem Rücken eines Vordermannes (oder Frau) zum nächsten gesprungen nur um die ewig beißenden Nadelstiche des Windes auszuweichen.
Plötzlich war die Ziellinie vor meinen Füßen und die PB war gelaufen.

Vermutlich waren die Schmerzen im Gesicht die ich aufgrund des Windes gespürt habe heftiger als die Schmerzen in meinen Beinen - ich wollte bloß das scheiß Rennen beenden.

Dieses Jahr versuche ich wieder auf gleicher Strecke meine PB zu unterbieten und hoffe auf ähnlich schlechten Wetter wie vor 2 Jahren - vielleicht brauche ich keinen Wunderschuh sondern wetterbedingte Schmerzen und Leiden vom Start an.
Bild

162
klnonni hat geschrieben:Ich seh es für mich ganz locker.
Was bringen mir 1-5% mehr Energierückgabe durch einen bestimmten Schuh im Wettkampf?
Ich laufe bloß für eine PB oder manchmal auch bloß für das gute Gefühl alles gegeben zu haben.

Wenn ich also meine Zeiten mit mir selbst vergleichen möchte, dann wäre es doch Selbstbetrug wenn ich mich auf einem WK mit Spezialschuhe ausstatte.
Ich wüsste dann im besten Fall, dass ich die PB an dem Tag aufgestellt habe, als ich die "Wunderschuhe "getragen hatte.
Ich wüsste aber nicht, ob ich ohne diese Schuhe auch eine ähnliche neue PB aufgestellt hätte. Ich wüsste nicht ob ich mich verbessert hätte.

Ausserdem sind die Schuhe doch bloß ein Mosaikstein im Puzzle, welches sich Renntag nennt.
Ich hatte vor kurzen bereits mal geschrieben, dass meine PB auf 10km Strassenlauf ausgerechnet an einem Tag erlaufen wurde,
an dem nach normalem Verständniss keine Bestzeiten gelaufen werden.
Ich hatte schlecht geschlafen, Kopfschmerzen und es war mit -2°C (gefühlte -11°C) aussergewöhnlich kalt, hinzu kam starke Sturmböen als Gegenwind (kein Rundkurs sondern ein Ost-West/Start-Ziellauf)

Bei der Startaufstellung war die Hoffnung bloß ins Ziel laufend ankommen.
Ich weiß nicht wieso, weshalb und warum aber ich blieb fast 20 Sekunden unter meiner PB.

Im Ziel konnte ich mich erst gar nicht über meine Zeit freuen.
Ich musste ständig mir ausmalen was gewesen wäre wenn die Umstände des Laufes besser gewesen wären - was wäre drin gewesen an diesem Tag?

Letzlich habe ich meine PB seit dem auch bei idealem Laufwetter und gefühlter Topform nicht mehr unterbieten können.

Für mich ist dies klar ein Beweis dafür, dass Rennen mehr im Kopf entschieden werden als in Laufschuhe.

An diesem Tag lief ich PB, weil ich wusste ich habe keine Chance auf eine gute Zeit und meine einzige Möglichkeit bei dieser sibirischen Kälte ins Ziel zu kommen, ist es immer den Windschatten der Vorderläufer zu nutzen.
Also bin ich von dem Rücken eines Vordermannes (oder Frau) zum nächsten gesprungen nur um die ewig beißenden Nadelstiche des Windes auszuweichen.
Plötzlich war die Ziellinie vor meinen Füßen und die PB war gelaufen.

Vermutlich waren die Schmerzen im Gesicht die ich aufgrund des Windes gespürt habe heftiger als die Schmerzen in meinen Beinen - ich wollte bloß das scheiß Rennen beenden.

Dieses Jahr versuche ich wieder auf gleicher Strecke meine PB zu unterbieten und hoffe auf ähnlich schlechten Wetter wie vor 2 Jahren - vielleicht brauche ich keinen Wunderschuh sondern wetterbedingte Schmerzen und Leiden vom Start an.
Jaja...
Deswegen schnipseln ALLE die Strecke über den Bürgersteig hier und da, weil sie einfach "nicht wussten" :hihi: dass es Abkürzung ist und das natürlich nicht als Selbstbetrug einstufen.

163
Selbstbetrug... blablabla :D
Das ist mir moralisch zu abgehoben. Wenn solche Schuhe zum quasi Standard werden, dann fragt sich keiner mehr, mit was für Schuhen er welche PB gelaufen ist. Der Gedanke mit andersartigen Schuhen eine PB zu laufen, wäre dann genauso abwegig wie es barfuß zu versuchen.

164
Rolli hat geschrieben:Jaja...
Deswegen schnipseln ALLE die Strecke über den Bürgersteig hier und da, weil sie einfach "nicht wussten" :hihi: dass es Abkürzung ist und das natürlich nicht als Selbstbetrug einstufen.
Wie meinst du das denn jetzt? Ich dachte bei der Streckenvermessung wird immer die kürzeste Strecke genommen. Also auch über den Bürgersteig.
Bild

165
Peters hat geschrieben:Wie meinst du das denn jetzt? Ich dachte bei der Streckenvermessung wird immer die kürzeste Strecke genommen. Also auch über den Bürgersteig.
Der kürzeste Weg innerhalb der offiziellen Strecke, nur gehört der Bürgersteig meist nicht zur Strecke...

(Wie weit der Veranstalter verpflichtetet ist, die Streckengrenzen entsprechend abzusperren oder zumindest zu markieren, kann ich hingegen nicht sagen, da kenne ich die Regen zu wenig im Detail.)

166
Catch-22 hat geschrieben:Selbstbetrug... blablabla :D
Das ist mir moralisch zu abgehoben. Wenn solche Schuhe zum quasi Standard werden, dann fragt sich keiner mehr, mit was für Schuhen er welche PB gelaufen ist.
So ganz abwegig finde ich das nicht. Angenommen, die Schuhe werden jetzt verboten. Und angenommen, Du bist mit diesen Schuhen gerade Deine lang erhoffte PB gelaufen, und zwar das ganz knapp. Wie ist es denn dann? Ich hätte dann schon ein wenig Gedanken ob das ok ist mit der PB oder nicht. Doof.

167
NME hat geschrieben:So ganz abwegig finde ich das nicht. Angenommen, die Schuhe werden jetzt verboten. Und angenommen, Du bist mit diesen Schuhen gerade Deine lang erhoffte PB gelaufen, und zwar das ganz knapp. Wie ist es denn dann? Ich hätte dann schon ein wenig Gedanken ob das ok ist mit der PB oder nicht. Doof.
Ich hätte den Gedanken unabhängig davon ob sie erlaubt sind oder nicht. Weil ich das Gefühl hätte, dass ich mir einen Teil der Leistung nicht erarbeitet sondern erkauft hätte. Mag manche*r als "moralisch abgehoben" ansehen aber hat für mich hauptsächlich damit zu tun warum man läuft – und insbesondere, warum man Wettkämpfe läuft.
"The curious paradox is that when I accept myself just as I am, then I can change." Carl Rogers
"The idea that the harder you work, the better you're going to be is just garbage. The greatest improvement is made by the man or woman who works most intelligently." Bill Bowerman
"It is remarkable how much long-term advantage people like us have gotten by trying to be consistently not stupid, instead of trying to be very intelligent." Charlie Munger
"Don’t go there until you need to go there." Steve Magness

168
alcano hat geschrieben:Hier (https://www.frontiersin.org/articles/10 ... 00079/full) gibt es unter "Supplementary Material" eine Excel-Datei, die einem die ungefähren theoretischen Zeitgewinne durch eine Verbesserung der Laufökonomie errechnet. Eine Laufökonomie-Verbesserung um 3% (durchaus realistisch) durch die Schuhe entspräche bei einer 10er-Zeit von 40 Minuten ziemlich genau einer Verbesserung von einer Minute (bei einem 27-Minuten-Läufer noch ca. 30 s).

Das ist für mich übrigens ein Hauptproblem der Schuhe: man weiß einfach nicht, wie viel schneller sie machen. Dadurch wird es auch schwierig, Zeiten miteinander zu vergleichen, bzw. zu wissen was gelaufene Zeiten "Wert sind".
Ich habe die Tabelle mal mit meinen Daten gefüttert. Bei 3% wird mir eine Verbesserung von 43s berechnet. (Auf 10k)
Das finde ich ganz schön viel.
Bild

169
NME hat geschrieben:So ganz abwegig finde ich das nicht. Angenommen, die Schuhe werden jetzt verboten. Und angenommen, Du bist mit diesen Schuhen gerade Deine lang erhoffte PB gelaufen, und zwar das ganz knapp. Wie ist es denn dann? Ich hätte dann schon ein wenig Gedanken ob das ok ist mit der PB oder nicht. Doof.
Angenommen...
Ich laufe jetzt 400m PB, dabei trete ich auf die Linie, was der Schiedsrichter übersieht... natürlich laufe ich dann ins Wettkampfbüro und bitte um DSQ... NATÜRLICH mache ich das!

170
NME hat geschrieben:So ganz abwegig finde ich das nicht. Angenommen, die Schuhe werden jetzt verboten. Und angenommen, Du bist mit diesen Schuhen gerade Deine lang erhoffte PB gelaufen, und zwar das ganz knapp. Wie ist es denn dann? Ich hätte dann schon ein wenig Gedanken ob das ok ist mit der PB oder nicht. Doof.
Das kommt wohl drauf an...

bist du z.B. in den 50ern und der Ansicht, es ist deine letzte Chance eine neue Marathon PB zu laufen, dann kann man wohl beruhigt zu den Schuhen greifen. Es geht schließlich mit der Leistung eh nur noch bergab. Warum also die letzte Chance für eine richtig gute PB entgehen lassen? :zwinker2:
Bist du jung, Anfang 40 wie ich :D , dann ist die Situation tatsächlich eine andere. Will ich heute mit Wunderschuhen eine Zeit laufen, der ich dann ewig hinterher rennen würde? Bzw. will ich mich jetzt schon wie eine 50 jährige fühlen, die der guten alten Zeit (mit den tollen Schuhen) hinterhertrauert? Nö, will ich nicht. Ist übrigens der Grund, der mich von einem Kauf abhält. Das jedoch ist auch eine Art Selbstbetrug. Die Zeit mit "falschen" Schuhen schön schlecht halten, damit es weiterhin fordernd ist sie zu verbessern.

Das ist auch alles von Verbot oder nicht Verbot unabhängig, da sie nur verbieten können, dass die Elite Athleten damit laufen, jedoch nicht dass solche Schuhe weiterhin entwickelt und verkauft werden. Es wird also bei einem Verbot, trotzdem Laufschuhe geben mit denen ich schneller wäre als mit den bisherigen.

171
Peters hat geschrieben:Ich habe die Tabelle mal mit meinen Daten gefüttert. Bei 3% wird mir eine Verbesserung von 43s berechnet. (Auf 10k)
Das finde ich ganz schön viel.
So ist das.
Man soll aber vielleicht wirklich die Schuhe als sehr gut gebaute Schuhe sehen und die Verbesserung akzeptieren. Wir akzeptieren auch, dass wir deutlich schneller mit egal welchen Schuhen laufen als wir das barfuß je schaffen würden.

172
NME hat geschrieben:So ganz abwegig finde ich das nicht. Angenommen, die Schuhe werden jetzt verboten. Und angenommen, Du bist mit diesen Schuhen gerade Deine lang erhoffte PB gelaufen, und zwar das ganz knapp. Wie ist es denn dann? Ich hätte dann schon ein wenig Gedanken ob das ok ist mit der PB oder nicht. Doof.
Noch schöner: Du hast mit der PB unerwartet die AK gewonnen und damit einen Freistart im Wert von 80€. In welchen Schuhen der Zweitplatzierte unterwegs war, weißt Du nicht.

Was machste?

Hat was davon, als ich das einzige Mal in der Schule bei einer Klassenarbeit gespickt habe (Bio mit viel Auswendig, was nicht in meinen Kopf ging). 13 Puntke (1-), der nächste hatte 9 Punkte (3+) und ich wurde vom Lehrer als Beispiel dafür herangezogen, dass die Arbeit doch nicht so schwer war, wie manche behaupteten. :peinlich: Nie wieder.
Bild

173
Catch-22 hat geschrieben: Das ist auch alles von Verbot oder nicht Verbot unabhängig, da sie nur verbieten können, dass die Elite Athleten damit laufen, jedoch nicht dass solche Schuhe weiterhin entwickelt und verkauft werden. Es wird also bei einem Verbot, trotzdem Laufschuhe geben mit denen ich schneller wäre als mit den bisherigen.
Sehe ich nicht so. Verbot wird alle IAAF-genehmigt Wettkämpfe betreffen.

174
Catch-22 hat geschrieben:Das kommt wohl drauf an...
Wie immer :zwinker2: .

Aber richtig zusammengefasst. Für mich gäbe es aktuell keine vernünftige Alternative zu diesem Schuh, wenn ich meine Marathon-PB angreifen wollte. Da gibt es nämlich nicht viel Luft nach oben, eher im Gegenteil. Und ich würde mir in den Hintern beißen, wenn ich die Chance durch falsche Schuhwahl verstreichen lassen würde.

Glaube aber auch, dass ich sehr gut darin wäre, mir im Nachhinein die Sache doch schönzureden, wenn ich die PB geschafft hätte und die Schuhe zwischenzeitlich verboten worden wären. :zwinker5:

175
Rolli hat geschrieben:Angenommen...
Ich laufe jetzt 400m PB, dabei trete ich auf die Linie, was der Schiedsrichter übersieht... natürlich laufe ich dann ins Wettkampfbüro und bitte um DSQ... NATÜRLICH mache ich das!
Das ist schon bisschen Äpfel mit Birnen verglichen und die Moralfrage lässt sich auf viele Arten hypothetisch stellen. Beantworten muss die jeder für sich, besonders wir Hobbyläufer.

Und wie vorher ausgeführt: ich würde im Zweifel mit mir im Reinen sein, wenn ich meine PB mit den Schuhen gelaufen wäre. Ob das für andere dann ok ist oder nicht, ist ein anderes Thema.

176
Ich habe die Schuhe nicht. Sind mir zu teuer. Und es gibt noch genug Baustellen die ich mit weniger Geld beseitigen kann.
Aber wenn die Schuhe erlaubt sind würde ich mir da gar keine Gedanken machen.
Wenn du im Radsport gut unterwegs bist, sagt ja auch keiner: Na ja aber du hast auch Gänge und Carbon und nen Aero Helm.
Deswegen braucht es ja auch Regeln. Innerhalb dieser kann man sich frei Austoben. Und es ist ja keine Wettbewerbsverzerrung, weil jeder die gleichen Regeln hat.
Aber wenn jemand noch welche über hat. Ne 32er Zeit würde ich nehmen. :D
Bild

177
alcano hat geschrieben:Ich hätte den Gedanken unabhängig davon ob sie erlaubt sind oder nicht. Weil ich das Gefühl hätte, dass ich mir einen Teil der Leistung nicht erarbeitet sondern erkauft hätte. Mag manche*r als "moralisch abgehoben" ansehen aber hat für mich hauptsächlich damit zu tun warum man läuft – und insbesondere, warum man Wettkämpfe läuft.
Ich finde, man muss nicht päpstlicher sein als der Papst. Wenn ich mir überlege, mit welchen Schuhen oder grundsätzlich welcher Ausrüstung ich einen Wettkampf laufe, nehme ich ja die, mit deen ich glaube am schnellsten zu sein. Ich nehme meine 150g Racing Flats und nicht die 350g Asics Dämpfungsmonster, nur weil ich glaube, letztere wären "ehrlicher".

Wenn sie illegal wären, wäre das natürlich ein anderer Fall, vielleicht vergleichbar mit dem Abkürzen der Strecke oder mal kurz die S-Bahn nehmen. Dann würde ich mir schon die Frage stellen, was meine Zeit wert ist?
VG Frank
5km - 19:38 (2009) ~ 10km - 40:02 (2011) ~ 15km - 61:07 (2010) ~ 10M - 67:37 (2009) ~ HM - 1:29:01 (2008) ~ M - 3:14:29 (2012)
Nächster Wettkampf: TBD

179
JoelH hat geschrieben:und das nötige Kleingeld. Dagegen sind die Nike ja Kindergarten in der Anschaffung, wenn man dem gegenüberstellt was man bei einem Rennrad so alles "optimieren" kann mit Geld.
Und im Reitsport? Da brauchst Du mit Jahresverdienst sub200.000 gar nicht erst versuchen.

180
JoelH hat geschrieben:und das nötige Kleingeld. Dagegen sind die Nike ja Kindergarten in der Anschaffung, wenn man dem gegenüberstellt was man bei einem Rennrad so alles "optimieren" kann mit Geld.
Das wird gerne überschätzt. So viel ist das gar nicht, bzw. in klassischen Radrennen wie bei der TdF auch gar nicht so relevant, wie man meint. Typischerweise könnte ein TdF-Fahrer auch gut und gerne eine Tour auf einem Rad fahren, wie man es für ein paar Tausend Euro im Laden kaufen kann, ohne dass er einen messbaren Nachteil hat.

Wenn wir über so Exoten wie Einzelzeitfahrrekorde auf Radbahnen sprechen, ist das noch was anderes. Aber ansonsten ist die Technologie ziemlich ausgelutscht, massentauglich und bezahlbar.

181
alcano hat geschrieben:Ich hätte den Gedanken unabhängig davon ob sie erlaubt sind oder nicht. Weil ich das Gefühl hätte, dass ich mir einen Teil der Leistung nicht erarbeitet sondern erkauft hätte.
Prinzipiell kann ich deinen Gedankengang schon durchaus nachvollziehen.

Nur frage ich mich, was die Vaporfly Schuhe in dieser Hinsicht so besonders macht? Letztlich haben doch auch alle bisherigen WK-Laufschuhe probiert, so schnell wie irgendwie möglich zu sein, waren im Normalfall vermutlich auch wirklich schneller als ihre Vorgänger und erst recht schneller als barfuß oder in nicht-Laufschuhen. Hattest du bisher beim Kauf eines neues Adidas Boosts, Asics DS Racer, oder was auch immer, also auch schon das Gefühl möglicherweise einen Teil deiner Leistung erkauft zu haben? Um das ausschließen zu können, müsste man dann doch folglich sein ganzes Leben im selben Modell (oder barfuß) laufen?

Wenn Nike bei den Schuhen jetzt wirklich irgendwas grundlegend anderes oder neues gemacht hätte, wäre der Fall wohl klarer. Aber letztlich sehe ich hier nur eine extrem konsequente und erfolgreiche Weiterentwicklung schon bekannter Trends und Techniken. Und der einzige wirkliche Unterschied zur bisherigen Laufschuhentwicklung ist, dass Nike plötzlich einen sehr großen Sprung gemacht hat, und das Nike (aktuell?) einen klaren Entwicklungsvorsprung gegenüber der Konkurrenz hat, wohingegen die Unterschiede zwischen den Herstellern historisch eher vernachlässigbar waren. Aber zumindest für die "Selbstbetrug" / "Leistung erkauft" Fragen, halte ich diese Punkte für eigentlich nicht relevant.

182
Dartan hat geschrieben: Nur frage ich mich, was die Vaporfly Schuhe in dieser Hinsicht so besonders macht?
Auf diese Begründung (sofern die Schuhe verboten werden) bin ich auch gespannt. Das muss die IAAF schon so wasserdicht hinbekommen, dass sie sich nicht angreifbar macht. Ich glaube nicht, dass die das schaffen.

Schauen wir uns mal Wettkampfregel 143 an (relevante Passagen zu Schuhen, alles was Spikes angeht, rausgestrichen):
Die Wettkämpfer dürfen an allen Wettkämpfen barfuss oder mit Schuhwerk an einem oder beiden Füßen teilnehmen. Zweck von Wettkampfschuhen ist es, den Füßen Schutz und Stabilität sowie festen Halt aufdem Boden zu geben.
OK
Sie dürfen jedoch nicht so beschaffen sein, dass sieeinem Wettkämpfer irgendeine zusätzliche unfaire Unterstützung geben.Dies schließt den Einbau irgendeiner technischen Vorrichtung ein, diedem Träger einen unfairen Vorteil gewährt. Ein Band über den Rist ist erlaubt.
Definiere: unfair.
Definiere: technische Vorrichtung.
Die Sohle und/oder der Absatz können Rillen, Erhöhungen, Einkerbungen und Ausbuchtungen haben, vorausgesetzt sie sind aus dem gleichenoder ähnlichem Material wie die Grundsohle gefertigt.
...
Bei allen anderen Wettbewerben können die Sohle und/oder derAbsatzbeliebig dick sein.
Die Wettkämpfer dürfen weder innerhalb noch außerhalb der Schuhe irgendein Hilfsmittel benutzen, das die Sohlendicke über das zulässigeMaß erhöht oder dem Träger einen Vorteil verschafft, den er bei der zuvor beschriebenen Art der Schuhe nicht hätte.
OK, da die Sohlendicke bei Laufwettkämpfen nicht geregelt ist, egal. Der zweite Satz ist mir nicht klar.

Am Ende läuft es also auf "was ist unfair?" und "was ist eine technische Vorrichtung?" hinaus.

183
Rolli hat geschrieben:Sehe ich nicht so. Verbot wird alle IAAF-genehmigt Wettkämpfe betreffen.
Eben nicht. Regel 100 hat 2018 einen neuen Absatz bekommen, der erlaubt, die Regeln außerhalb der Spitzen, von Meisterschaften, Rekorden und Preisen (auch für die AK) zu beugen. Sprich, was schnöde Volksläufer (also ich :D ) an hat juckt keine Sau, auch bei einem IAAF genehmigten Lauf. Das wiederum bedeutet, es wird einen Markt für diese Schuhe geben, die Schuhe werden weiter hergestellt und verkauft. Da wird dann auch jeder Spitzenläufer wissen, wäre er Volksläufer dürfte er mit schnelleren Schuhen laufen. :teufel:

184
NME hat geschrieben:Auf diese Begründung (sofern die Schuhe verboten werden) bin ich auch gespannt. Das muss die IAAF schon so wasserdicht hinbekommen, dass sie sich nicht angreifbar macht. Ich glaube nicht, dass die das schaffen.
Das sie die Schuhe aufgrund der aktuell vorhandenen Regeln (am besten noch rückwirkend) verbieten, kann ich mir aus diesem Grund beim besten Willen nicht vorstellen. Die aktuellen Regeln sind - wie von dir schon festgestellt - einfach so Wischiwaschi, dass man je nach Auslegung entweder nahezu alle Laufschuhe verbieten müsste oder alternativ die Vaporfly als Regel-konform ansehen muss. Eine Auslegung zu finden, welche die Vaporfly verbietet, aber die restlichen Modelle erlaubt, und einem dabei vor Sportgerichten nicht um die Ohren fliegen würde, halte ich für schwierig.

Wenn ein Verbot kommen sollte, dann gehe ich davon aus, dass die IAAF Regeln zukünftig einfach entsprechend angepasst werden. Also irgendeine konkrete (wenn auch letztlich vollkommen willkürliche) Grenze eingefügt wird, um z.B. die Zwischensohle auf eine bestimmte Maximalhöhe zu limitieren.

185
Rolli hat geschrieben:Jaja...
Deswegen schnipseln ALLE die Strecke über den Bürgersteig hier und da, weil sie einfach "nicht wussten" :hihi: dass es Abkürzung ist und das natürlich nicht als Selbstbetrug einstufen.
Am Ende des Rennens, wenn alles frei ist, mache ich das wirklich nicht, weil es mir zu riskant ist, dass ich mich auf die Schnauze lege.
Am Anfang dagegen, wenn die vermeintlichen 3:15 h Läufer, die mit viel Glück dann eine 3:55 schaffen, die ganze Straßenbreite versperren, halte ich das für Notwehr.

186
alcano hat geschrieben:Ich hätte den Gedanken unabhängig davon ob sie erlaubt sind oder nicht. Weil ich das Gefühl hätte, dass ich mir einen Teil der Leistung nicht erarbeitet sondern erkauft hätte. Mag manche*r als "moralisch abgehoben" ansehen aber hat für mich hauptsächlich damit zu tun warum man läuft – und insbesondere, warum man Wettkämpfe läuft.
Dann darfst du aber nie anfangen, wettkampfmäßig Rad zu fahren. Denn da machen Gewicht des Rahmens, Laufradsatz, Reifenwahl usw. zwangsläufig einen nicht unerheblichen Teil der Leistung aus. Selbst in den Schülerklassen fahren sie keine Baumarkt- oder Supermarkträder.

Und schwimmen im Neoprenanzug ist genauso no-go, egal wie kalt es ist, denn auch das macht gute 10% Leistungsunterschied zur Badehose aus.

187
Tvaellen hat geschrieben:Am Ende des Rennens, wenn alles frei ist, mache ich das wirklich nicht, weil es mir zu riskant ist, dass ich mich auf die Schnauze lege.
Am Anfang dagegen, wenn die vermeintlichen 3:15 h Läufer, die mit viel Glück dann eine 3:55 schaffen, die ganze Straßenbreite versperren, halte ich das für Notwehr.
Jaja... genau die gleiche oder ähnliche Ausrede benutzen 99% der anderen Teilnehmer, die alle einen "sehr wichtigen" Grund haben über den Bürgersteig abzukürzen.

188
Dartan hat geschrieben:Das sie die Schuhe aufgrund der aktuell vorhandenen Regeln (am besten noch rückwirkend) verbieten, kann ich mir aus diesem Grund beim besten Willen nicht vorstellen.
Sehe ich auch so.

Nebenthema: Bei strikter Auslegung der Regeln wären übrigens auch sämtliche Laufuhren ("Pacing", Musikfunktionen, Kommunikationsgerät), ein Stryd (auch Pacing, sogar Leistungsmessung) Grund zur Disqualifikation da diese "unfair" sind. Siehe Regeln 143+144. An dem Punkt wäre mir ein Verbot persönlich total egal hinsichtlich meiner PB und ich hätte 0,0 moralische Bedenken.

189
Hallo,

manchmal blicke ich wehmütig ein paar Jahre zurück. Vermisse die Jahre, da ich persönliche Bestleistungen auf verschiedenen Distanzen oder Wettbewerben aufstellen und mich auf diese Weise für hartes Training belohnen konnte. Wenn ich allerdings das Hin und Her, Pro und Kontra hier so lese, diesen Hype um nicht mehr als einen blöden Laufschuh, dann bin zum ersten Mal richtig froh, dass die PB-Zeiten der Vergangenheit angehören.

Wenn ich wirtschaftlichen Nutzen aus der Firma zöge, für deren Schlappen hier kosten- und endlos Werbung betrieben wird, dann würde ich versuchen die Diskussion weiter anzuheizen und noch möglichst lange am Leben zu halten. Es geht doch nichts über ein vermeintliches oder tatsächliches Skandälchen, um Verkaufszahlen anzukurbeln ...

Gruß Udo
"Faszination Marathon", die Laufseite von Ines und Udo auch für Einsteiger. :hallo:
Mit Trainingsplänen für 10 km, Halbmarathon, Marathon und Ultraläufe

PB: HM: 1:25:53 / M: 3:01:50 / 6h-Lauf: 70,568 km / 100 km: 9:07:42 / 100 Meilen: 17:18:55 / 24h-Lauf: 219,273 km
Deutsche Meisterschaft im 24h-Lauf 2015: 10. Gesamtplatz, Deutscher Meister in AK M60 (200,720 km) / Spartathlon 2016: 34:47:53 h

190
Dartan hat geschrieben:Nur frage ich mich, was die Vaporfly Schuhe in dieser Hinsicht so besonders macht? Letztlich haben doch auch alle bisherigen WK-Laufschuhe probiert, so schnell wie irgendwie möglich zu sein, waren im Normalfall vermutlich auch wirklich schneller als ihre Vorgänger und erst recht schneller als barfuß oder in nicht-Laufschuhen. Hattest du bisher beim Kauf eines neues Adidas Boosts, Asics DS Racer, oder was auch immer, also auch schon das Gefühl möglicherweise einen Teil deiner Leistung erkauft zu haben? Um das ausschließen zu können, müsste man dann doch folglich sein ganzes Leben im selben Modell (oder barfuß) laufen?
Guter Punkt. Ich hatte ehrlich gesagt immer das Gefühl, dass:
1. der Hauptnutzen von Schuhen darin besteht, die Füße zu schützen
2. vergleichbare Schuhe verschiedener Hersteller ("Racing Flats") alle ungefähr "gleich schnell" sind
3. "Schuhe" keinen wesentlichen metabolischen Vorteil gegenüber "barfuß" darstellen

Deine Frage hat mich jetzt aber dazu gebracht, diese Annahmen zu überprüfen. Gefunden habe ich folgende Studie: https://journals.lww.com/acsm-msse/Full ... __.14.aspx (Alex Hutchinson hat hier auch etwas darüber geschrieben: https://www.runnersworld.com/gear/a2080 ... efficient/).

Kurz zusammengefasst kam dabei heraus:
In a group of experienced midfoot striking barefoot runners:
1) V˙O2 increased by approximately 1% for each 100 g added per foot, whether barefoot or shod
2) barefoot and shod running did not significantly differ in V˙O2 or metabolic power
3) for footwear conditions of equal mass, shod running had lower V˙O2 and metabolic power than barefoot running.
Was heißt das konkret? Das sieht man hier ganz gut: Das Laufen in Schuhen scheint einen Vorteil von ca. 3.5% im Sauerstoffverbrauch (=Laufökonomie) zu bringen. Dieser wird zumindest teilweise wieder ausgeglichen durch den Nachteil, dass Schuhe ein gewisses Gewicht haben und pro 100 g (je Fuß) der Sauerstoffverbrauch um grob 1% ansteigt. Bei einem Gewicht der meisten Wettkampfschuhe von 200-250 g macht dies also ca. 2-2.5% der "gewonnen" 3.5% zunichte. Damit dürfte der Vorteil in der Laufökonomie der meisten Schuhe verglichen mit barfußlaufen bei ca. 1-1.5% liegen.

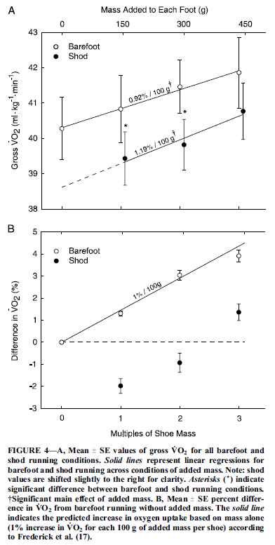
Wie sieht es nun aber aus mit unterschiedlichen Materialien? Gemäß einer Studie, die zwei Adidas-Schuhe miteinander verglich (https://www.tandfonline.com/doi/abs/10. ... 014.918184) scheint der Boost-Schaum gegenüber EVA-Schaum tatsächlich nochmal einen zusätzlichen Vorteil von ca. 1% in der Laufökonomie zu bringen. Es darf also angenommen werden, dass die Adidas Adios Boost (mit einem Gewicht von knapp unter 250 g) die Laufökonomie gegenüber barfußlaufen um ca. 2-2.5% verbessern. Wo andere Schuhe wie z.B. die New Balance 1400 – in denen ich meine zwei bisherigen Marathons gelaufen bin – in diesem Vergleich liegen, dazu habe ich nichts gefunden. Ich nehme jedoch weiterhin an, dass es aufgefallen wäre, wenn der Schuh eines Herstellers bezüglich der Laufökonomie plötzlich einen deutlichen Vorteil gegenüber anderen Schuhen aufzuweisen gehabt hätte, gebe allerdings gerne zu, dass ich dies nicht mit Sicherheit weiß.

Vergleicht man nun jedoch die Vaporfly 4% damit (z.B. https://link.springer.com/article/10.10 ... 017-0811-2 oder https://link.springer.com/article/10.10 ... 018-1012-3), dann sieht man, dass diese gegenüber den Adios Boost nochmal einen zusätzlichen Unterschied in der Laufökonomie von ca. 4% ausmachen. Zu den Next% gibt es meines Wissens bisher noch keine Studien, jedoch sollen diese nochmal ca. 1% zusätzlich ausmachen (https://www.wired.com/story/the-science ... thon-shoe/). Oder in anderen Worten: verglichen mit barfußlaufen dürften die Nike-Schuhe einen Vorteil in der Laufökonomie von 6-7% bringen.
"The curious paradox is that when I accept myself just as I am, then I can change." Carl Rogers
"The idea that the harder you work, the better you're going to be is just garbage. The greatest improvement is made by the man or woman who works most intelligently." Bill Bowerman
"It is remarkable how much long-term advantage people like us have gotten by trying to be consistently not stupid, instead of trying to be very intelligent." Charlie Munger
"Don’t go there until you need to go there." Steve Magness

192
U_d_o hat geschrieben:Hallo,

manchmal blicke ich wehmütig ein paar Jahre zurück. Vermisse die Jahre, da ich persönliche Bestleistungen auf verschiedenen Distanzen oder Wettbewerben aufstellen und mich auf diese Weise für hartes Training belohnen konnte. Wenn ich allerdings das Hin und Her, Pro und Kontra hier so lese, diesen Hype um nicht mehr als einen blöden Laufschuh, dann bin zum ersten Mal richtig froh, dass die PB-Zeiten der Vergangenheit angehören.

Wenn ich wirtschaftlichen Nutzen aus der Firma zöge, für deren Schlappen hier kosten- und endlos Werbung betrieben wird, dann würde ich versuchen die Diskussion weiter anzuheizen und noch möglichst lange am Leben zu halten. Es geht doch nichts über ein vermeintliches oder tatsächliches Skandälchen, um Verkaufszahlen anzukurbeln ...

Gruß Udo
Wie alt muss ich werden, um auch "früher-war-alles-besser" sagen zu dürfen?

193
Rolli hat geschrieben:Wie alt muss ich werden, um auch "früher-war-alles-besser" sagen zu dürfen?
Ungefähr dasselbe Alter in dem man anfängt zu sagen, dass die heutige Jugend nicht leistungsbereit ist. ;-)

195
alcano hat geschrieben:Damit dürfte der Vorteil in der Laufökonomie der meisten Schuhe verglichen mit barfußlaufen bei ca. 1-1.5% liegen.

Es darf also angenommen werden, dass die Adidas Adios Boost (mit einem Gewicht von knapp unter 250 g) die Laufökonomie gegenüber barfußlaufen um ca. 2-2.5% verbessern.

verglichen mit barfußlaufen dürften die Nike-Schuhe einen Vorteil in der Laufökonomie von 6-7% bringen.
Schöne Zusammenstellung, die zeigt, dass das Problem ein gleitendes ist. Da passt die Entscheidung, jetzt erstmal einen Stop neuerer Modelle (was auch immer das genau heißt) einzulegen, aber alles "alte" weiterhin zuzulassen. Das wäre auch ansonsten zu peinlich, Schuhe zu verbieten, mit denen vor knapp vier Jahren Olympiamedallien erlaufen wurden.
"If you want to become a better runner, you have to run more often. It is that easy." - Tom Fleming

196
Hier der Pressebericht zur Entscheidung von World Athletics bezüglich der Schuhe: https://www.worldathletics.org/news/pre ... ules-shoes
Die (gute) Zusammenfassung im englischsprachigen Runner's World: https://www.runnersworld.com/news/a3072 ... orfly-ban/

Wer keine Lust hat so viel zu lesen, ab sofort dürfen nur noch Schuhe verwendet werden für die gilt:
  • Sohle maximal 40 mm dick.
  • Maximal eine Platte in der Sohle.
  • Für Spikes: eine zusätzliche Platte ist erlaubt um die Spikes an der Sohle zu befestigen und maximale Sohlendicke 30 mm
Und ab 30. April:
  • Schuhe müssen für 4 Monate zum Kauf erhältlich gewesen sein (online oder im Laden) bevor sie in einem Wettkampf verwendet werden dürfen.

Für "nicht-Elite" gelten diese Regelungen nicht. Theoretisch dürfte man also mit einem Alphafly laufen, falls die zum Kauf erhältlich sein werden. Man sollte nur vielleicht keinen großen Städtemarathon damit gewinnen (wobei ich mir hier nicht ganz sicher bin, bei wem die Schuhe geprüft werden und bei wem nicht) oder einen offiziellen Rekord laufen.
"The curious paradox is that when I accept myself just as I am, then I can change." Carl Rogers
"The idea that the harder you work, the better you're going to be is just garbage. The greatest improvement is made by the man or woman who works most intelligently." Bill Bowerman
"It is remarkable how much long-term advantage people like us have gotten by trying to be consistently not stupid, instead of trying to be very intelligent." Charlie Munger
"Don’t go there until you need to go there." Steve Magness

200
Mal in die neuen Regeln geschaut (sind in der Pressemitteilung verlinkt).

Mit einem neuen Schuh bei Olympia antreten und sagen: "Wieso? Der ist doch seit 4 Monaten online auf http://www.thenewsportshoeyouneverheardof.com zu kaufen!" wird nicht klappen:
Note (i): At least four months prior to an International Competition at which an
athlete proposes to wear a shoe that has not previously been used in
International Competitions, the athlete (or their representative) must submit to
World Athletics the specification (i.e. size, dimensions, sole thickness,
structure etc.) of that new shoe; confirm if the new shoe is to be customised in
any way; and provide information about the availability of the new shoe on the
open retail market (i.e. either in store or online).
Bild
Antworten

Zurück zu „Laufschuhe“