Hallo liebe Leute.
Ich bin 17Jahre alt, ca 190cm gross, wiege ca 63kg und bin Vegetarier. Ich habe ser viel spass am laufen und bin auch relativ gut. Doch ich finde das sehr "dünne" Arme/Beine habe, also will ich au noch etwas Muskelmasse an den Armen/Beinen zunehmen.
Ich gehe 2-4mal, je ca 15km mit ca 4:45min/km, pro Woche joggen & verbrenne laut Nike+ Run Club ca 1000kcal. Wie könnte ich genug Kalorien zu mir nehmen um auchnoch ein paar Muskeln aufzubauen ? Und ist es egal in welcher Form ich diese zu mir nehme (zb Schokolade hat ja viel Kalorien) ?
2
Ich würde den traditioniellen Weg vorschlagen. Es mag konservativ erscheinen, aber mit Messer und Gabel essen hat noch keinem geschadet.Zexion hat geschrieben: Und ist es egal in welcher Form ich diese zu mir nehme?
Über mich
wo ich herkomme Am Anfang war da der Bauchspeck und wo ich zuletzt gelaufen bin Joels Daily Challenge - Streakrunning
4
Naja, wen es mit Messer und Gabel gar nix wird, könnte es auch mit den Fingern essen, dem Muskelaufbau würde es nicht im Wege stehenJoelH hat geschrieben:Ich würde den traditioniellen Weg vorschlagen. Es mag konservativ erscheinen, aber mit Messer und Gabel essen hat noch keinem geschadet.
5
Btw. als Anschauungsbeispiele mag mein Avatar dienen. Wenn du einfach nur Kalorien zu dir nimmst, dann wird das zum rechten Bild führen. Denn dann lagert der Körper den Kram dort ab wo es für ihn am einfachsten abzulagern ist, also am Rettungsring, der vom - nicht sichtbaren - Gürtel oben gehalten wird.
Wenn du nur läufst und die Kalorien reduzierst, führt es zum linken.
Um den Körper also dazu zu bringen die Muskeln dahin zu bringen wo du sie haben magst, dann musst du diese Muskeln bewegen, nachdem du mit Messer&Gabel - oder den Händen - die Kalorien und Eiweisse zu dir genommen hast. Bei den Armen würde ich auch die von Vögelchen vorgeschlagenen Gewichte in Form von Hanteln benutzen.
Wenn du nur läufst und die Kalorien reduzierst, führt es zum linken.
Um den Körper also dazu zu bringen die Muskeln dahin zu bringen wo du sie haben magst, dann musst du diese Muskeln bewegen, nachdem du mit Messer&Gabel - oder den Händen - die Kalorien und Eiweisse zu dir genommen hast. Bei den Armen würde ich auch die von Vögelchen vorgeschlagenen Gewichte in Form von Hanteln benutzen.
Über mich
wo ich herkomme Am Anfang war da der Bauchspeck und wo ich zuletzt gelaufen bin Joels Daily Challenge - Streakrunning
6
Vom unnatürlichen Abrollen über die Fersen vorsichtig und langsam auf Laufen auf den Fußballen umgewöhnen (bergab kann Fersenlaufen natürlich nach wie vor Sinn machen). Ich weiß Superteuersupertollweltraumfersendämpfschuhersteller und -verkäufer lesen das nicht so gerne. Die verdienen dank der Etablierung des völlig unnatürlichen und vergleichsweise wenig hinterfragten Fersenlaufens eine Menge Geld.
Mir hat diese Laufweise ganz schön dicke Waden gebracht. Auch mal steil bergauf laufen (ist zufällig ein kostenfrei begehbarer Aussichtsturm mit Wendeltreppe in der Nähe?). Das macht stramme Oberschenkel. Deinen spargeligen Oberkörper wirst Du mit Laufen natürlich nicht aufblasen können. Da sind so in etwa jeden zweiten Tag Eigengewichtsübungen angesagt. Sowieso, um ent- oder bestehende Dysbalancen (wie bei mir der Fall) auszugleichen.
Falls Du sowas nicht eh schon hast: Besorge Dir doch so einen ganz einfachen Einknopf-Smoothiemaker. Ich mache mir (für nach dem Laufen und als Teil des Frühstücks) immer einen Drink aus Milch, Sojaprotein (das günstige, im 5kg-Pack, von XXXXXX), zarten Haferflocken (machen in der Tat schön), vorgemahlenen Chia-Samen (machen weniger doof im Kopf, mir hilfts), Goji-Beeren (Glaubenssache, aber angeblich viel Vitamin C), Kürbiskernen (natürlich ohne Schale) und vorgemahlenem Blaumohn (mehr für den Geschmack, aber auch zusätzliche Eiweißquelle). Süßen tu ich das mit einer ausgeklügelten Eigenmischung aus Traubenzucker, Stevia-Konzentratpulver und Vanillearoma (Pulver).
Meinen Frühstückswabbeldrink quirle ich immer schon bevor ich loslaufe (oder mich sonstwie sportlich abquäle), kann dann schön einweichen. Vor dem Konsum dann nochmals kurz durchquirlen.
Andere würden Ei mit Kartoffel empfehlen. Auch gut. (Und Blattspinat dazu, hmmm!) Hauptsache es kommen viel Proteine und Kohlenhydranten rein.
An Deiner Stelle würde ich sogar über den Konsum von BCAAs (günstiger in Pulverform) vor dem Sport nachdenken. (Aber vielleicht ist das auch Quatsch? Kommentare?) Google mal BCAA! Mit der Lektüre in Foren usw. kannst Du Tage zubringen.
Abends auch mal einen mit Wasser oder Milch verquirlten Magerquark mit entsprechenden lecker Zusatzstoffen drin, die den Geschmack erträglicher machen (also tendenziell weg von "Pisse", hin zu "Cheese Cake" usw.) Müssen ja nicht gleich die ganzen 500g sein wie bei Bodybuildern. Apfelsinen-Quarkspeise hat meine Mutter uns Kindern früher immer gemacht. Lecker! (Orangen: Typisches Winterobst.) In Deinem Fall muss es eigentlich nicht mal Magerquark sein.
Schon mal Vollkornbrot mit Obazda probiert?
Mir hat diese Laufweise ganz schön dicke Waden gebracht. Auch mal steil bergauf laufen (ist zufällig ein kostenfrei begehbarer Aussichtsturm mit Wendeltreppe in der Nähe?). Das macht stramme Oberschenkel. Deinen spargeligen Oberkörper wirst Du mit Laufen natürlich nicht aufblasen können. Da sind so in etwa jeden zweiten Tag Eigengewichtsübungen angesagt. Sowieso, um ent- oder bestehende Dysbalancen (wie bei mir der Fall) auszugleichen.
Falls Du sowas nicht eh schon hast: Besorge Dir doch so einen ganz einfachen Einknopf-Smoothiemaker. Ich mache mir (für nach dem Laufen und als Teil des Frühstücks) immer einen Drink aus Milch, Sojaprotein (das günstige, im 5kg-Pack, von XXXXXX), zarten Haferflocken (machen in der Tat schön), vorgemahlenen Chia-Samen (machen weniger doof im Kopf, mir hilfts), Goji-Beeren (Glaubenssache, aber angeblich viel Vitamin C), Kürbiskernen (natürlich ohne Schale) und vorgemahlenem Blaumohn (mehr für den Geschmack, aber auch zusätzliche Eiweißquelle). Süßen tu ich das mit einer ausgeklügelten Eigenmischung aus Traubenzucker, Stevia-Konzentratpulver und Vanillearoma (Pulver).
Meinen Frühstückswabbeldrink quirle ich immer schon bevor ich loslaufe (oder mich sonstwie sportlich abquäle), kann dann schön einweichen. Vor dem Konsum dann nochmals kurz durchquirlen.
Andere würden Ei mit Kartoffel empfehlen. Auch gut. (Und Blattspinat dazu, hmmm!) Hauptsache es kommen viel Proteine und Kohlenhydranten rein.
An Deiner Stelle würde ich sogar über den Konsum von BCAAs (günstiger in Pulverform) vor dem Sport nachdenken. (Aber vielleicht ist das auch Quatsch? Kommentare?) Google mal BCAA! Mit der Lektüre in Foren usw. kannst Du Tage zubringen.
Abends auch mal einen mit Wasser oder Milch verquirlten Magerquark mit entsprechenden lecker Zusatzstoffen drin, die den Geschmack erträglicher machen (also tendenziell weg von "Pisse", hin zu "Cheese Cake" usw.) Müssen ja nicht gleich die ganzen 500g sein wie bei Bodybuildern. Apfelsinen-Quarkspeise hat meine Mutter uns Kindern früher immer gemacht. Lecker! (Orangen: Typisches Winterobst.) In Deinem Fall muss es eigentlich nicht mal Magerquark sein.
Schon mal Vollkornbrot mit Obazda probiert?
Nur Weicheier laufen in Markenware![/size][/font]
7
Ist mir schlecht......
"Ich habe es immer geliebt, zu laufen. Es war etwas was man einfach so machen konnte. Du konntest in jede Richtung laufen, schnell oder langsam, gegen den Wind ankämpfen wenn du wolltest, neue Umgebungen kennenlernen mit der Kraft deiner Füße und dem Mut deiner Lungen." (Jesse Owens)
Wichtiger Hinweis: https://joachim-zelter.de/wp-content/up ... /PDF.9.pdf
Wichtiger Hinweis: https://joachim-zelter.de/wp-content/up ... /PDF.9.pdf
9
Zumindest wirkt das Pulver und das Wunderzeugs aus fernen Ländern:
aldidas hat geschrieben:
Wiege 102 kg.....
"Ich habe es immer geliebt, zu laufen. Es war etwas was man einfach so machen konnte. Du konntest in jede Richtung laufen, schnell oder langsam, gegen den Wind ankämpfen wenn du wolltest, neue Umgebungen kennenlernen mit der Kraft deiner Füße und dem Mut deiner Lungen." (Jesse Owens)
Wichtiger Hinweis: https://joachim-zelter.de/wp-content/up ... /PDF.9.pdf
Wichtiger Hinweis: https://joachim-zelter.de/wp-content/up ... /PDF.9.pdf
10
Hallo,Zexion hat geschrieben:Ich bin 17Jahre alt, ca 190cm gross, wiege ca 63kg und bin Vegetarier. Ich habe ser viel spass am laufen und bin auch relativ gut. Doch ich finde das sehr "dünne" Arme/Beine habe, also will ich au noch etwas Muskelmasse an den Armen/Beinen zunehmen.
laut BMI-Rechner musst Du mal ganz generell zunehmen. Die Muskeln sind da zweitrangig, und lassen sich dann relativ einfach aufbauen (z.B. durch 100 Liegestütze pro Tag ein Jahr lang).
Also wäre mein Tipp, Dich grundsätzlich mit Deinen Ernährungsgewohnheiten auseinanderzusetzen. Wie viele ernsthafte und ausgewogene Mahlzeiten pro Tag etc. Das mit der Schokolade hast Du ja hoffentlich nicht ernst gemeint.
Viele Spass und Viele Grüße!
EDIT: Mir ist beim zweiten Mal Lesen erst bewusst geworden, dass Du 17 Jahre alt bist. Da würde ich auch einfach mal noch ein paar Jahre vergehen lassen, bevor ich mir besondere Gedanken mache. Bist halt erst mal in der Länge gewachsen, die Breite kommt schon noch...
11
Oh, damals war ich anscheinend noch schlanker! Können auch schon mal bis 110 kg sein. ... Trotzdem stürze ich ab in die Tiefe, sobald ich versuche mich nur ein Sekündchen lang mit nur einem Händchen und einem Ärmchen an einer waagerechten Stange festzuhalten. Es ist so traurig.bones hat geschrieben:Zumindest wirkt das Pulver und das Wunderzeugs aus fernen Ländern:
Nur Weicheier laufen in Markenware![/size][/font]
12
Oder größer....
"Ich habe es immer geliebt, zu laufen. Es war etwas was man einfach so machen konnte. Du konntest in jede Richtung laufen, schnell oder langsam, gegen den Wind ankämpfen wenn du wolltest, neue Umgebungen kennenlernen mit der Kraft deiner Füße und dem Mut deiner Lungen." (Jesse Owens)
Wichtiger Hinweis: https://joachim-zelter.de/wp-content/up ... /PDF.9.pdf
Wichtiger Hinweis: https://joachim-zelter.de/wp-content/up ... /PDF.9.pdf
13
Diesen Quatsch (von wegen Fersenlauf = unnatürlich) hatten wir ja schon lange nicht mehr.aldidas hat geschrieben:Vom unnatürlichen Abrollen über die Fersen vorsichtig und langsam auf Laufen auf den Fußballen umgewöhnen (bergab kann Fersenlaufen natürlich nach wie vor Sinn machen). Ich weiß Superteuersupertollweltraumfersendämpfschuhersteller und -verkäufer lesen das nicht so gerne. Die verdienen dank der Etablierung des völlig unnatürlichen und vergleichsweise wenig hinterfragten Fersenlaufens eine Menge Geld.
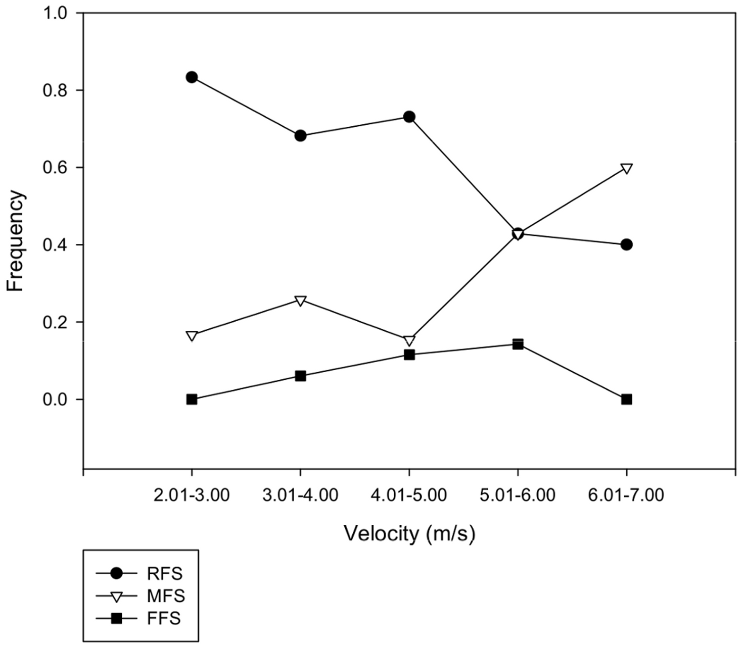
Falls das ernst gemeint war: z. B. hier wird mit diesem Mythos aufgeräumt - natürliche Barfußläufer rollen natürlich mehrheitlich barfuß über die natürliche Ferse ab.
Geschwindigkeitsabhängig, wie man hier sieht: Selbst bei 5 m/s (= 3:20 min/km) landen > 70% der Barfußläufer barfuß auf der Ferse; wird man schneller, landet man eher auf dem Mittelfuß (RFS = Ferse; MFS = Mittelfuß; FFS = Vorfuß).
"If you want to become a better runner, you have to run more often. It is that easy." - Tom Fleming
15
Du weißt ja, wie das ist: die Claudia geht mit dem mesomorphen Dieter - da kommt man schon mal ins Grübeln.jawiedenn hat geschrieben: EDIT: Mir ist beim zweiten Mal Lesen erst bewusst geworden, dass Du 17 Jahre alt bist. Da würde ich auch einfach mal noch ein paar Jahre vergehen lassen, bevor ich mir besondere Gedanken mache. Bist halt erst mal in der Länge gewachsen, die Breite kommt schon noch...
Knippi
Die Stones sind wir selber.
16
Bin auch nur selten hier. Daher ist es mir entgangen, dass Fersenlauf inzwischen wieder natürlich geworden ist. Ziehe die sehr effektive natürliche Federung dennoch dem harten Aufschlagen auf die Ferse vor. Außer es geht steil den Berg runter. Dann schalte ich natürlich auch in den "Fersengang".D-Bus hat geschrieben:Diesen Quatsch (von wegen Fersenlauf = unnatürlich) hatten wir ja schon lange nicht mehr.
Klar, soll jeder machen wie er mag. Strammere Waden gibts jedoch bestimmt mit Ballenlauf.
Und jetzt lese ich mir den Text zum Link durch.
Edit: Nike liebt Fersenläufer!
Als Ballenläufer musste ich dafür meine Kniescheiben noch nie zur Reparatur einschicken - und habe zudem tolle Waden!
Nur Weicheier laufen in Markenware![/size][/font]
17
Dito.bones hat geschrieben:Ist mir schlecht......
@TE:
Typisches 1Mal1 des Muskelaufbaus:
-Hypertrophietraining: Krafttraining mit 8-12 Wiederholungen
-Kalorienüberschuss
-erhöhte Eiweißzufuhr; ich würde da eher mehr als 1,5, mindestens 2 Gramm Eiweiß pro Kg Körpergewicht versuchen zu erreichen
Wenn du Probleme hast, soviel zu Essen, ist der Tipp mit dem Mixer tatsächlich nicht so schlecht (das einzig brauchbare an dem langen Text voller Fitness-Klischees von "aldidas". Haferflocken, Milch, Magerquark und etwa Honig reinstopfen, sich ein wenig mit den Nährstofftabellen vertraut machen und mixen.
Wenn du, wie sich deine Beschreibung anhört, eher ein sehr schlank veranlagter Typ bist, kann es gut sein, dass Übungen mit dem eigenen Körpergewicht dir keinen wirklichen Muskelaufbau bringen oder das du sehr viel mehr Kalorien und Eiweiß brauchst als die meisten Menschen, also dir übliche Kalorienrechner wenig bis nichts bringen. Da wirst du experimentieren müssen und dich mit Nährwertgehalten von Lebensmitteln selbst vertraut machen.
19
Du hast Recht: Der zusätzliche Tipp "Goji-Beeren" zog meinen Text unnötig in die Länge. Bin mir selber nicht sicher, ob ich das Zeug nochmals nachbestellen soll (Pestizid-Belastung?). War ein Versuch. Wollte auch mal wissen wie die getrockneten Beeren schmecken, die sogar aus Mick Jagger einen stattlichen gesunden jungen Mann gezaubert haben sollen. (Der frisst bestimmt die teurere "Bio"-Variante.)AchatSchnecke hat geschrieben:Dito.
ist der Tipp mit dem Mixer tatsächlich nicht so schlecht (das einzig brauchbare an dem langen Text voller Fitness-Klischees von "aldidas". Haferflocken, Milch, Magerquark und etwa Honig reinstopfen, sich ein wenig mit den Nährstofftabellen vertraut machen und mixen.
Nur Weicheier laufen in Markenware![/size][/font]
26
Pauschale Ernährungstipps, ohne auch nur das Geringste über das Essverhalten zu wissen, sind einfach Quatsch. Wir wissen nicht, was er isst. Auch nicht wie viel. Aber Hauptsache Überschuss. Man kann mit der richtigen Ernährung Muskeln aufbauen, selbst wenn man weniger isst, als man verbraucht. Das gilt vor allem für Anfänger. Dazu muss natürlich das Training stimmen. Natürlich stimmt auch das nicht pauschal und raten würde ich das per Ferndiagnose auch niemandem, aber das zeigt, wie unsinnig solche Tipps sind.Vögelchen hat geschrieben:Okey, stimmt wohl wenn man genug Fett zum Verbrennen hat. Was aber beim Threadersteller eher nicht so aussieht.
Oder wie meinst du das?
27
Bitte Forum löschen!!!McAwesome hat geschrieben:Pauschale Ernährungstipps, ohne auch nur das Geringste über das Essverhalten zu wissen, sind einfach Quatsch. Wir wissen nicht, was er isst. Auch nicht wie viel. Aber Hauptsache Überschuss. Man kann mit der richtigen Ernährung Muskeln aufbauen, selbst wenn man weniger isst, als man verbraucht. Das gilt vor allem für Anfänger. Dazu muss natürlich das Training stimmen. Natürlich stimmt auch das nicht pauschal und raten würde ich das per Ferndiagnose auch niemandem, aber das zeigt, wie unsinnig solche Tipps sind.
Man kann doch keine Antwort auf eine einfache Frage geben. Das ist Quatsch, ohne zu wissen, was, wie viel, Lebenslauf, ohne Bestimmung des Genpools, ohne Familiengeschiche zu können, Vorerkrankungen, Vorlieben, Laster, Schulnoten, sexuelle Neigungen, und... und... und... Ohne dieses Wissen kann man doch keine Antwort hier geben!! Das ist Quatsch!
Übrigens.... pauschaler Vorschlag "mehr zu essen" ist völlig richtig!
28
Wahrscheinlich kam der TE mit seinen 17 Jahren beim schnellen Wachstum nicht mit dem Essen nach. Das reguliert sich alles von selbst. Der braucht keine Pülverchen und Wundermittel aus Fernost.
"Ich habe es immer geliebt, zu laufen. Es war etwas was man einfach so machen konnte. Du konntest in jede Richtung laufen, schnell oder langsam, gegen den Wind ankämpfen wenn du wolltest, neue Umgebungen kennenlernen mit der Kraft deiner Füße und dem Mut deiner Lungen." (Jesse Owens)
Wichtiger Hinweis: https://joachim-zelter.de/wp-content/up ... /PDF.9.pdf
Wichtiger Hinweis: https://joachim-zelter.de/wp-content/up ... /PDF.9.pdf
29
Eigentlich hatte der TE ja nach dem Wie gefragt. Das ist etwa, wie wenn ich im Backforum frage, wie heiß ich den Ofen machen muss, damit der Kuchen in ner Stunde gar ist und mir geantwortet wird, ich solle ihn heißer als vorher machen. Kann ja jeder selbst entscheiden, ob er das für ne sinnvolle Herangehensweise hält.Rolli hat geschrieben:Bitte Forum löschen!!!
Man kann doch keine Antwort auf eine einfache Frage geben. Das ist Quatsch, ohne zu wissen, was, wie viel, Lebenslauf, ohne Bestimmung des Genpools, ohne Familiengeschiche zu können, Vorerkrankungen, Vorlieben, Laster, Schulnoten, sexuelle Neigungen, und... und... und... Ohne dieses Wissen kann man doch keine Antwort hier geben!! Das ist Quatsch!
Übrigens.... pauschaler Vorschlag "mehr zu essen" ist völlig richtig!
31
Auch wenn wir hier nicht im Argen stochern sollten, weil der TE nichts mehr von sich hören läßt: Nomen est omen, ich bin selbst so ein "Schlaks". Mit 17 konnte ich essen, was und wieviel ich wollte, ich wog ungefähr 65 kg bei immerhin 195cm Länge. Das einzige, was mir hilft, Gewicht zuzulegen (und das ist bis heute so), ist Sport. Gymnastik, Eigengewichtsübungen, Laufen. So bin ich jetzt auf knapp 80 kg gekommen und glaubt mir (der Zuckerfaden möge mir das verzeihen), das ist ein hartes Stück Arbeit NICHT abzunehmen. Der pauschale Vorschlag, mehr zu essen, ist daher in meinen Augen nicht richtig. Besonders nicht, wenn sich das Mehr auf Schokolade und so Zeugs bezieht.
Viele Grüße
Schlaks
Schlaks
32
Jede Menge Schwachsinnaldidas hat geschrieben:Vom unnatürlichen Abrollen über die Fersen vorsichtig und langsam auf Laufen auf den Fußballen umgewöhnen (bergab kann Fersenlaufen natürlich nach wie vor Sinn machen). Ich weiß Superteuersupertollweltraumfersendämpfschuhersteller und -verkäufer lesen das nicht so gerne. Die verdienen dank der Etablierung des völlig unnatürlichen und vergleichsweise wenig hinterfragten Fersenlaufens eine Menge Geld.
Mir hat diese Laufweise ganz schön dicke Waden gebracht. Auch mal steil bergauf laufen (ist zufällig ein kostenfrei begehbarer Aussichtsturm mit Wendeltreppe in der Nähe?). Das macht stramme Oberschenkel. Deinen spargeligen Oberkörper wirst Du mit Laufen natürlich nicht aufblasen können. Da sind so in etwa jeden zweiten Tag Eigengewichtsübungen angesagt. Sowieso, um ent- oder bestehende Dysbalancen (wie bei mir der Fall) auszugleichen.
Falls Du sowas nicht eh schon hast: Besorge Dir doch so einen ganz einfachen Einknopf-Smoothiemaker. Ich mache mir (für nach dem Laufen und als Teil des Frühstücks) immer einen Drink aus Milch, Sojaprotein (das günstige, im 5kg-Pack, von XXXXXX), zarten Haferflocken (machen in der Tat schön), vorgemahlenen Chia-Samen (machen weniger doof im Kopf, mir hilfts), Goji-Beeren (Glaubenssache, aber angeblich viel Vitamin C), Kürbiskernen (natürlich ohne Schale) und vorgemahlenem Blaumohn (mehr für den Geschmack, aber auch zusätzliche Eiweißquelle). Süßen tu ich das mit einer ausgeklügelten Eigenmischung aus Traubenzucker, Stevia-Konzentratpulver und Vanillearoma (Pulver).
Meinen Frühstückswabbeldrink quirle ich immer schon bevor ich loslaufe (oder mich sonstwie sportlich abquäle), kann dann schön einweichen. Vor dem Konsum dann nochmals kurz durchquirlen.
Andere würden Ei mit Kartoffel empfehlen. Auch gut. (Und Blattspinat dazu, hmmm!) Hauptsache es kommen viel Proteine und Kohlenhydranten rein.
An Deiner Stelle würde ich sogar über den Konsum von BCAAs (günstiger in Pulverform) vor dem Sport nachdenken. (Aber vielleicht ist das auch Quatsch? Kommentare?) Google mal BCAA! Mit der Lektüre in Foren usw. kannst Du Tage zubringen.
Abends auch mal einen mit Wasser oder Milch verquirlten Magerquark mit entsprechenden lecker Zusatzstoffen drin, die den Geschmack erträglicher machen (also tendenziell weg von "Pisse", hin zu "Cheese Cake" usw.) Müssen ja nicht gleich die ganzen 500g sein wie bei Bodybuildern. Apfelsinen-Quarkspeise hat meine Mutter uns Kindern früher immer gemacht. Lecker! (Orangen: Typisches Winterobst.) In Deinem Fall muss es eigentlich nicht mal Magerquark sein.
Schon mal Vollkornbrot mit Obazda probiert?
33
Schlaks hat geschrieben: das ist ein hartes Stück Arbeit NICHT abzunehmen.
Über mich
wo ich herkomme Am Anfang war da der Bauchspeck und wo ich zuletzt gelaufen bin Joels Daily Challenge - Streakrunning
35
17Jahre, 1,90m und 63 Kilo, Joggen...Muskeln aufbauen? Nö das wird nix. So viel natural Anabole Nahrung kannst du gar nicht essen wie nötig sein wird. Du bist ein Hardgainer, finde dich damit ab. Stichwort Ectomorph.
Sicherlich kannst du auch paar Pfund Muskelmasse aufbauen, aber nicht wenn du nebenbei auch "intensinv" läufst.
Sicherlich kannst du auch paar Pfund Muskelmasse aufbauen, aber nicht wenn du nebenbei auch "intensinv" läufst.
36
Muskeln enthalten selber Kalorien. Wie soll der Körper Gewicht zulegen, wenn man weniger isst, als man verbraucht? Wenn man nicht gerade Körperfett verbrennen kann (was beim TE angesichts eines BMIs von 17,5 nicht möglich sein dürfte) ist das mathematisch unmöglich.McAwesome hat geschrieben:Pauschale Ernährungstipps, ohne auch nur das Geringste über das Essverhalten zu wissen, sind einfach Quatsch. Wir wissen nicht, was er isst. Auch nicht wie viel. Aber Hauptsache Überschuss. Man kann mit der richtigen Ernährung Muskeln aufbauen, selbst wenn man weniger isst, als man verbraucht. Das gilt vor allem für Anfänger. Dazu muss natürlich das Training stimmen. Natürlich stimmt auch das nicht pauschal und raten würde ich das per Ferndiagnose auch niemandem, aber das zeigt, wie unsinnig solche Tipps sind.
Ich halte von der "Kalorienbilanz" auch nur begrenzt was, da niemand genau weiß, wie viele Kalorien er verbraucht und wie viele er effektiv aufnimmt. Aber ebenso, wie auch alle hier gegebenen Trainingstipps, Trainingspläne und sonstigen Ratschläge nur ungefähre, pauschale Basics sind, kann man dem TE auch nur ganz grob umrissen sagen, was der Weg ist.
Wenn jemand einen BMI von 17,5, also noch unter dem was Elite-Langstreckenläufer haben, dann ist die Wahrscheinlichkeit, dass er deutlich mehr essen muss, um Muskeln und damit Gewicht zuzulegen, als bisher sehr, sehr groß.
38
Wenn ich mir seine Forenaktivität anschaue zweifele ich daran das er überhaupt real existiert und nicht nur eine Erfindung ist um uns bei Laune zu halten.Schlaks hat geschrieben:Woher willst du denn wissen, dass der TE weniger isst, als er verbraucht? Der Gute nimmt nicht ab, sondern nur nicht zu...
Über mich
wo ich herkomme Am Anfang war da der Bauchspeck und wo ich zuletzt gelaufen bin Joels Daily Challenge - Streakrunning
40
Er weiß net wie groß er ist und er weiß auch net wie viel er wiegt. Nur Schätzungen?Zexion hat geschrieben:ca 190cm gross, wiege ca 63kg und bin Vegetarier.
Gut, ich schätze mal Anorexia Nervosa oder so ... Psychologen können hier bestimmt gute Dienste leisten.
Oder ... als Vegetarier einfach nur unterernährt?
41
Service Ernährung - Zunehmen bei Untergewicht - Mensch - Wissen - WDR
Video: 50 Kilo bei 1,89 Meter - Wenn Männer magersüchtig sind - Menschen hautnah - Sendungen A-Z - Video - Mediathek - WDR
Video: 50 Kilo bei 1,89 Meter - Wenn Männer magersüchtig sind - Menschen hautnah - Sendungen A-Z - Video - Mediathek - WDR
"Ich habe es immer geliebt, zu laufen. Es war etwas was man einfach so machen konnte. Du konntest in jede Richtung laufen, schnell oder langsam, gegen den Wind ankämpfen wenn du wolltest, neue Umgebungen kennenlernen mit der Kraft deiner Füße und dem Mut deiner Lungen." (Jesse Owens)
Wichtiger Hinweis: https://joachim-zelter.de/wp-content/up ... /PDF.9.pdf
Wichtiger Hinweis: https://joachim-zelter.de/wp-content/up ... /PDF.9.pdf
42
Ist es nicht, da falsch abstrahiert.McAwesome hat geschrieben:Eigentlich hatte der TE ja nach dem Wie gefragt. Das ist etwa, wie wenn ich im Backforum frage, wie heiß ich den Ofen machen muss, damit der Kuchen in ner Stunde gar ist und mir geantwortet wird, ich solle ihn heißer als vorher machen. Kann ja jeder selbst entscheiden, ob er das für ne sinnvolle Herangehensweise hält.
45
Hallo!
Ich komme vom Kraftsport/Training und BB. Ich habe vor 3 Monaten beschlossen, mit dem Laufen zu beginnen.
Zur Zeit wiege ich 102kg und im April ist ein Marathon geplant. Ich gehe gerade den anderen Weg, ich bin am abnehmen.
Wenn du zunehmen willst, oder besser gesagt etwas an Muskeln aufbauen, dann benötigt das Zeit und Konsequenz. Daran scheitern die Meisten.
Wieviel du essen sollst/musst, ist rasch erklärt. Dafür gibt es Erfahrungswerte, von denen jeder ausgehen kann und erstmal auch Erfolge haben wird.
Der klassische Ansatz... oldie but goldie!
Kcal: 30-40 pro Kg Körpergewicht, davon mind. 2gr Protein pro Kg Körpergewicht. (Ich persönlich bin eher gegen eine reine Proteinmast und kann aus Erfahrung sagen, dass 2gr für den ambitionierten Freizeitsportler reichen)
Fett und Kohlehydrat je nach belieben. Wenn mehr Fett dann weniger Kh und umgekehrt.
Fett mind. 0,5gr pro Kg Körpergewicht aber nicht mehr als 1gr pro Kg Körpergewicht.
Wenn kcal aus Protein und Fett errechnet sind, den Rest mit Kh auffüllen.
Umrechnung:
1gr Protein... 4kcak
1gr Kh... 4kcal
1gr Fett... 9kcal (die Kommastellen schenken wir uns)
Das ganze für 1-2 Monate mal so durchziehen. Mit Waage (täglich) und Maßband (wöchentlich) kontrollieren und dann im weiteren Verlauf anpassen.
Dazu natürlich Training mit Gewichten und einem ordentlichen Plan!
Viel Spaß!
Ich komme vom Kraftsport/Training und BB. Ich habe vor 3 Monaten beschlossen, mit dem Laufen zu beginnen.
Zur Zeit wiege ich 102kg und im April ist ein Marathon geplant. Ich gehe gerade den anderen Weg, ich bin am abnehmen.
Wenn du zunehmen willst, oder besser gesagt etwas an Muskeln aufbauen, dann benötigt das Zeit und Konsequenz. Daran scheitern die Meisten.
Wieviel du essen sollst/musst, ist rasch erklärt. Dafür gibt es Erfahrungswerte, von denen jeder ausgehen kann und erstmal auch Erfolge haben wird.
Der klassische Ansatz... oldie but goldie!
Kcal: 30-40 pro Kg Körpergewicht, davon mind. 2gr Protein pro Kg Körpergewicht. (Ich persönlich bin eher gegen eine reine Proteinmast und kann aus Erfahrung sagen, dass 2gr für den ambitionierten Freizeitsportler reichen)
Fett und Kohlehydrat je nach belieben. Wenn mehr Fett dann weniger Kh und umgekehrt.
Fett mind. 0,5gr pro Kg Körpergewicht aber nicht mehr als 1gr pro Kg Körpergewicht.
Wenn kcal aus Protein und Fett errechnet sind, den Rest mit Kh auffüllen.
Umrechnung:
1gr Protein... 4kcak
1gr Kh... 4kcal
1gr Fett... 9kcal (die Kommastellen schenken wir uns)
Das ganze für 1-2 Monate mal so durchziehen. Mit Waage (täglich) und Maßband (wöchentlich) kontrollieren und dann im weiteren Verlauf anpassen.
Dazu natürlich Training mit Gewichten und einem ordentlichen Plan!
Viel Spaß!
47
Hab den Rat ausgiebig befolgt, aber der einzige, der dadurch fett geworden ist, ist mein Zahnarzt. Nur mein Eisenspiegel, der ist jetzt top.aldidas hat geschrieben:Hauptsache es kommen viel Proteine und Kohlenhydranten rein.
48
RunningPotatoe hat geschrieben:Hab den Rat ausgiebig befolgt, aber der einzige, der dadurch fett geworden ist, ist mein Zahnarzt. Nur mein Eisenspiegel, der ist jetzt top.
Gruss Tommi


Mein Tagebuch: forum/threads/96079-Die-dicken-Waden-der-dicken-Wade
"Unser Denken bestimmt unsere Wahrnehmung und unser Verhalten. Wenn wir uns nur auf das konzentrieren, was uns missfällt, werden wir auch viel Schlechtes sehen, dementsprechend über die Welt denken und unser Verhalten danach ausrichten. Menschen, die sich auf das Schöne konzentrieren, sind folglich zweifelsfrei glücklicher."
Thorsten Havener
49
Hab' mich nicht getraut, weil's hier immer nur Mecker gibt, man sei ein Troll, wenn man Anfängerfragen stellt. 
